Информационная система
«Ёшкин Кот»

Скачать базу одним архивом
Скачать обновления
История создания базы
Карта сайта

Скачать ГОСТ Р 57851.3-2017 Смесь газоконденсатная. Часть 3. Конденсат газовый нестабильный. Определение компонентно-фракционного состава методом газовой хроматографии без предварительного разгазирования пробы

Дата актуализации: 01.06.2025

ГОСТ Р 57851.3-2017

Смесь газоконденсатная. Часть 3. Конденсат газовый нестабильный. Определение компонентно-фракционного состава методом газовой хроматографии без предварительного разгазирования пробы

Обозначение: ГОСТ Р 57851.3-2017
Статус:действующий
Название рус.:Смесь газоконденсатная. Часть 3. Конденсат газовый нестабильный. Определение компонентно-фракционного состава методом газовой хроматографии без предварительного разгазирования пробы
Название англ.:Gas-condensate mixture. Part 3. Unstable gas condensate. Compositional analysis by gas chromatography method without preliminary sample degasification
Дата актуализации текста:01.01.2018
Дата актуализации описания:01.07.2023
Дата издания:04.12.2017
Дата введения:01.01.2019
Нормативные ссылки:ГОСТ 12.0.004;ГОСТ 12.1.005;ГОСТ 12.1.007;ГОСТ 12.4.021;ГОСТ 4330;ГОСТ 13861;ГОСТ 17433;ГОСТ 17567;ГОСТ 22387.2-2014;ГОСТ 28498;ГОСТ 30852.19;ГОСТ Р ИСО 5725-1;ГОСТ Р ИСО 5725-6;ГОСТ Р ИСО 14001;ГОСТ Р 51673;ГОСТ Р 55609;ГОСТ Р 57851.2-2017;ГОСТ Р 57851.4-2017
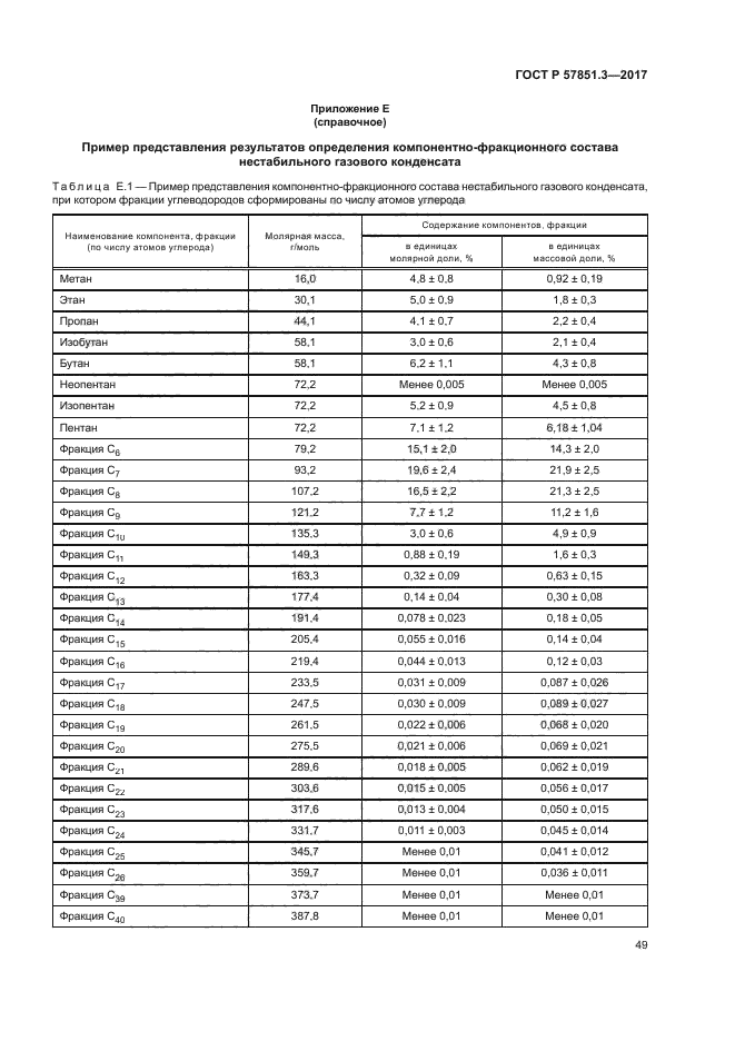
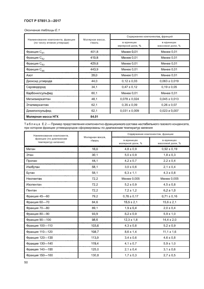
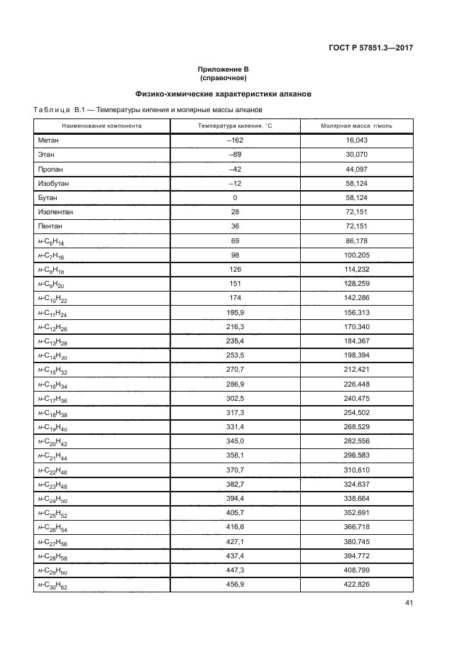
Область применения:Настоящий стандарт устанавливает определение молярной и массовой долей неуглеводородных компонентов (азота, диоксида углерода), индивидуальных углеводородов от С1 до н-С5, фракций углеводородов от С6 до С44 (или до С12+высшие), метанола, серосодержащих соединений (сероводорода, карбонилсульфида, дисульфида углерода, индивидуальных меркаптанов С1 - С4, сульфидов, производных тиофена) в пробе нестабильного газового конденсата методом газовой хроматографии в диапазонах, приведенных в таблице 1. Метод применяют для определения компонентно-фракционного состава проб нестабильного газового конденсата в одну стадию без их предварительного разгазирования прямым вводом пробы в хроматограф под давлением. Метод используют в аналитических (испытательных) лабораториях и узлах измерений количества нестабильного газового конденсата предприятий и организаций по добыче и переработке сырья газоконденсатных и нефтегазоконденсатных месторождений, контролирующих физико-химические свойства нестабильного газового конденсата для целей учета и анализа показателей разработки месторождений, планирования добычи и переработки углеводородного сырья
Расположен в:Государственные стандарты Общероссийский классификатор стандартов Добыча и переработка нефти, газа и смежные производства Природный газ Классификатор государственных стандартов Нефтяные продукты Топливо жидкое и газообразное Методы испытаний. Упаковка. Маркировка Общетехнические и организационно-методические стандарты Система документации Система стандартов в области охраны природы и улучшения использования природных ресурсов, безопасности труда, научной организации труда
ГОСТ Р 57851.3-2017ГОСТ Р 57851.3-2017ГОСТ Р 57851.3-2017ГОСТ Р 57851.3-2017ГОСТ Р 57851.3-2017ГОСТ Р 57851.3-2017ГОСТ Р 57851.3-2017ГОСТ Р 57851.3-2017ГОСТ Р 57851.3-2017ГОСТ Р 57851.3-2017ГОСТ Р 57851.3-2017ГОСТ Р 57851.3-2017ГОСТ Р 57851.3-2017ГОСТ Р 57851.3-2017ГОСТ Р 57851.3-2017ГОСТ Р 57851.3-2017ГОСТ Р 57851.3-2017ГОСТ Р 57851.3-2017ГОСТ Р 57851.3-2017ГОСТ Р 57851.3-2017ГОСТ Р 57851.3-2017ГОСТ Р 57851.3-2017ГОСТ Р 57851.3-2017ГОСТ Р 57851.3-2017ГОСТ Р 57851.3-2017ГОСТ Р 57851.3-2017ГОСТ Р 57851.3-2017ГОСТ Р 57851.3-2017ГОСТ Р 57851.3-2017ГОСТ Р 57851.3-2017ГОСТ Р 57851.3-2017ГОСТ Р 57851.3-2017ГОСТ Р 57851.3-2017ГОСТ Р 57851.3-2017ГОСТ Р 57851.3-2017ГОСТ Р 57851.3-2017ГОСТ Р 57851.3-2017ГОСТ Р 57851.3-2017ГОСТ Р 57851.3-2017ГОСТ Р 57851.3-2017ГОСТ Р 57851.3-2017ГОСТ Р 57851.3-2017ГОСТ Р 57851.3-2017ГОСТ Р 57851.3-2017ГОСТ Р 57851.3-2017ГОСТ Р 57851.3-2017ГОСТ Р 57851.3-2017ГОСТ Р 57851.3-2017ГОСТ Р 57851.3-2017ГОСТ Р 57851.3-2017ГОСТ Р 57851.3-2017ГОСТ Р 57851.3-2017ГОСТ Р 57851.3-2017ГОСТ Р 57851.3-2017ГОСТ Р 57851.3-2017ГОСТ Р 57851.3-2017ГОСТ Р 57851.3-2017ГОСТ Р 57851.3-2017

© 2013 Ёшкин Кот :-) Карта сайта