| Обозначение: |  ГОСТ ISO/TS 17728-2017 |
| Статус: | действующий |
| Название рус.: | Микробиология пищевой цепи. Методы отбора проб пищевой продукции и кормов для микробиологического анализа |
| Название англ.: | Microbiology of the food chain. Sampling techniques for microbiological analysis of food and feed samples |
| Дата актуализации текста: | 01.07.2023 |
| Дата актуализации описания: | 01.01.2021 |
| Дата регистрации: | 07.06.2017 |
| Дата издания: | 29.11.2017 |
| Дата введения: | 01.01.2019 |
| Аутентичен стандартам: | ISO/TS 17728:2015 |
| Нормативные ссылки: | ISO 7218 |
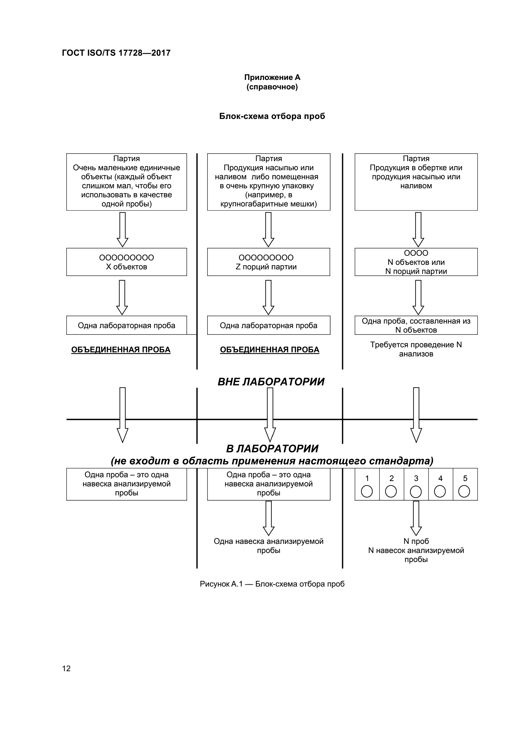
| Область применения: | Настоящий стандарт распространяется на пробы до их доставки в лабораторию для микробиологического анализа и устанавливает общие руководящие указания и конкретные требования к отбору проб и их транспортированию в лабораторию. Схемы отбора проб не входят в область применения настоящего стандарта. Стандарт распространяется практически на все виды пищевой продукции и кормов, в том числе на блоки замороженной продукции, туши животных, мясо и продукцию насыпью или наливом. Настоящий стандарт не распространяется на отбор следующих видов проб: - молока и молочной продукции; - с поверхности туш; - с поверхностей окружающей среды; - на начальной стадии производства |
| Приложение №1: | Поправка к ГОСТ ISO/TS 17728-2017 |
|
| Расположен в: |
|