| Обозначение: |  ГОСТ Р МЭК 61131-7-2017 |
| Статус: | действующий |
| Название рус.: | Контроллеры программируемые. Часть 7. Программирование нечеткого управления |
| Название англ.: | Programmable controllers. Part 7. Fuzzy control programming |
| Дата актуализации текста: | 01.01.2018 |
| Дата актуализации описания: | 01.07.2023 |
| Дата издания: | 09.10.2017 |
| Дата введения: | 01.09.2018 |
| Аутентичен стандартам: | IEC 61131-7(2000) |
| Нормативные ссылки: | IEC 60050-351(1998);IEC 61131-3(1993) |
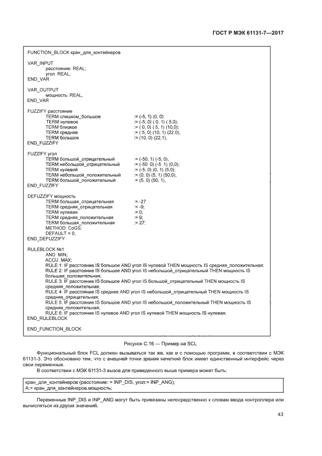
| Область применения: | Настоящий стандарт устанавливает язык программирования приложений нечеткого управления, применяемый программируемыми контроллерами. Целью настоящего стандарта является достижение изготовителями и потребителями общего понимания основных средств интегрирования приложений нечеткого управления в языки программируемых контроллеров в соответствии с МЭК 61131-3, а также возможности обмена переносимыми программами нечеткого управления между разными системами программирования. Для достижения поставленной цели в приложении А приводится краткое описание теории нечеткого управления и нечеткой логики, необходимое для понимания настоящего стандарта. Пользователям настоящего стандарта, не знакомым с теорией нечеткого управления, может быть полезно сначала обратиться к приложению А |
|
| Расположен в: |
|