| Обозначение: |  ГОСТ Р ИСО 17734-1-2017 |
| Статус: | действующий |
| Название рус.: | Анализ азоторганических соединений в воздухе методом жидкостной хроматографии и масс-спектрометрии. Часть 1. Определение изоцианатов по их дибутиламиновым производным |
| Название англ.: | Determination of organonitrogen compounds in air using liquid chromatography and mass spectrometry. Part 1. Isocyanates using dibutylamine derivatives |
| Дата актуализации текста: | 01.01.2018 |
| Дата актуализации описания: | 01.07.2023 |
| Дата издания: | 09.09.2019 |
| Дата введения: | 01.12.2018 |
| Взамен: | ГОСТ Р ИСО 17734-1-2009 |
| Аутентичен стандартам: | ISO 17734-1:2013 |
| Нормативные ссылки: | ISO 5725-2;ISO 16200-1 |
| Область применения: | Настоящий стандарт устанавливает общие положения по отбору и анализу проб на содержание изоцианатов, присутствующих в воздухе рабочей зоны. Если предполагают, что может произойти выделение изоцианатов [например, при термической деструкции в производстве полиуретанов (ПУ)], то кроме аминов и аминоизоционатов рекомендуется дополнительно определять амины и аминоизоцианаты с использованием ди-н-бутиламиновых производных (ДБА) и этилхлорформиата в качестве реагентов (ИСО 17734-2) |
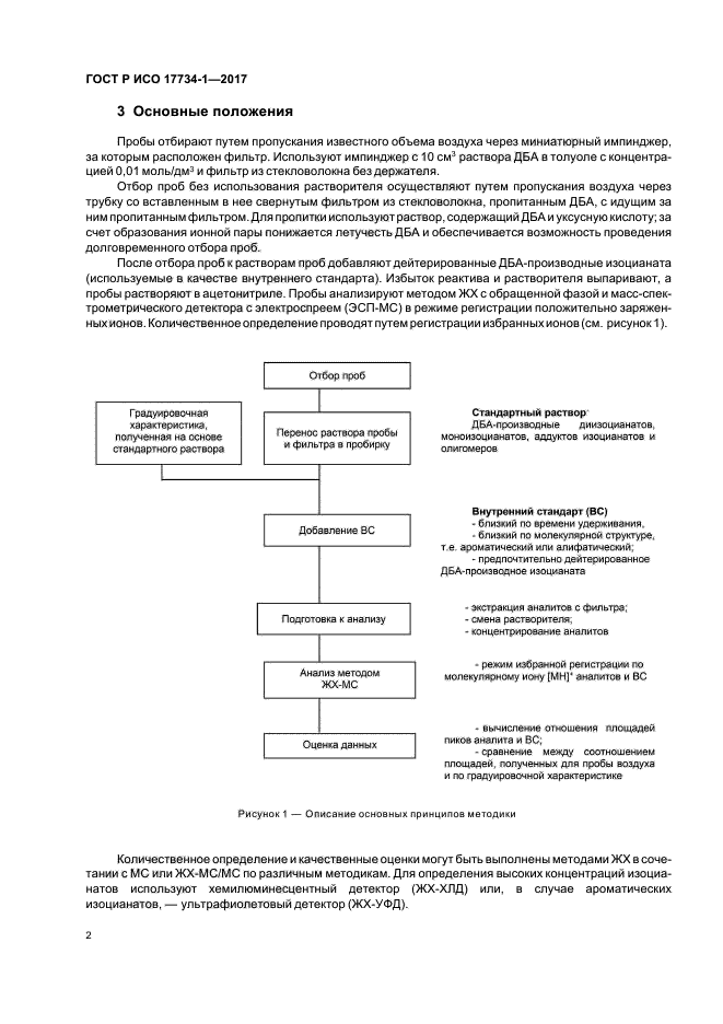
|
| Расположен в: |
|