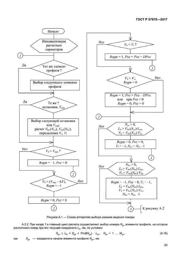
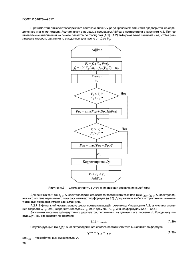
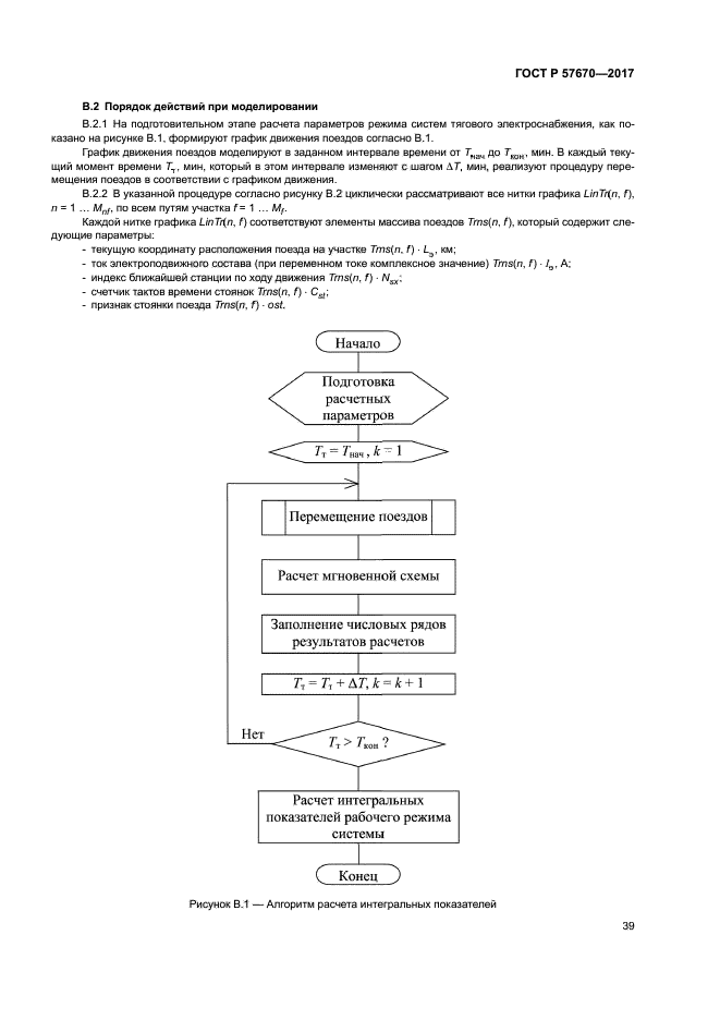
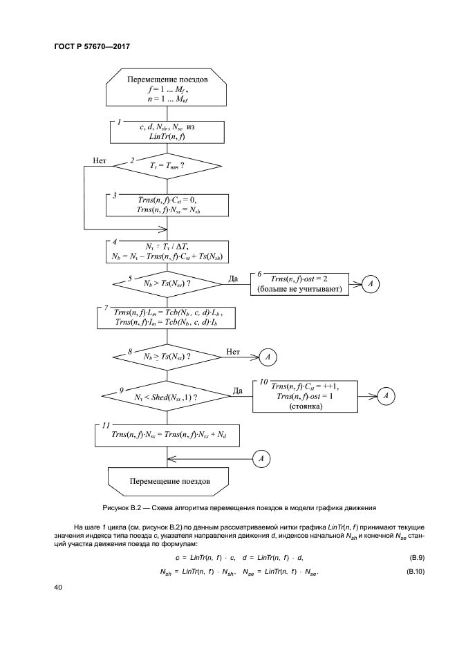
| ||||||||||||||||||||||||||||||
Скачать ГОСТ Р 57670-2017 Системы тягового электроснабжения железной дороги. Методика выбора основных параметровДата актуализации: 01.06.2025
| ||||||||||||||||||||||||||||||
| Обозначение: | ![]() ГОСТ Р 57670-2017 |
| Статус: | действующий |
| Название рус.: | Системы тягового электроснабжения железной дороги. Методика выбора основных параметров |
| Название англ.: | The railway track power supply systems. The methods of selecting fundamental parameters |
| Дата актуализации текста: | 01.01.2021 |
| Дата актуализации описания: | 01.07.2023 |
| Дата издания: | 19.10.2017 |
| Дата введения: | 01.05.2018 |
| Код ОКП: | 318531 |
| Нормативные ссылки: | ГОСТ 839-80; ГОСТ 2585-81; ГОСТ 4775-91; ГОСТ 6962-75; ГОСТ 7746-2015; ГОСТ 11677; ГОСТ 14209-85; ГОСТ 16772-77; ГОСТ 32697-2014; ГОСТ 32895; ГОСТ Р 51559; ГОСТ Р 52002; ГОСТ Р 52565-2006; ГОСТ Р 52719; ГОСТ Р 52726-2007; ГОСТ Р 55647-2013 |
| Область применения: | Настоящий стандарт распространяется на системы тягового электроснабжения постоянного тока напряжением 3 кВ, переменного тока напряжением 25 и 2Ч25 кВ при скорости движения поездов на электротяге до 250 км/ч и устанавливает методику выбора основных параметров этих систем |
| Расположен в: | |



















































