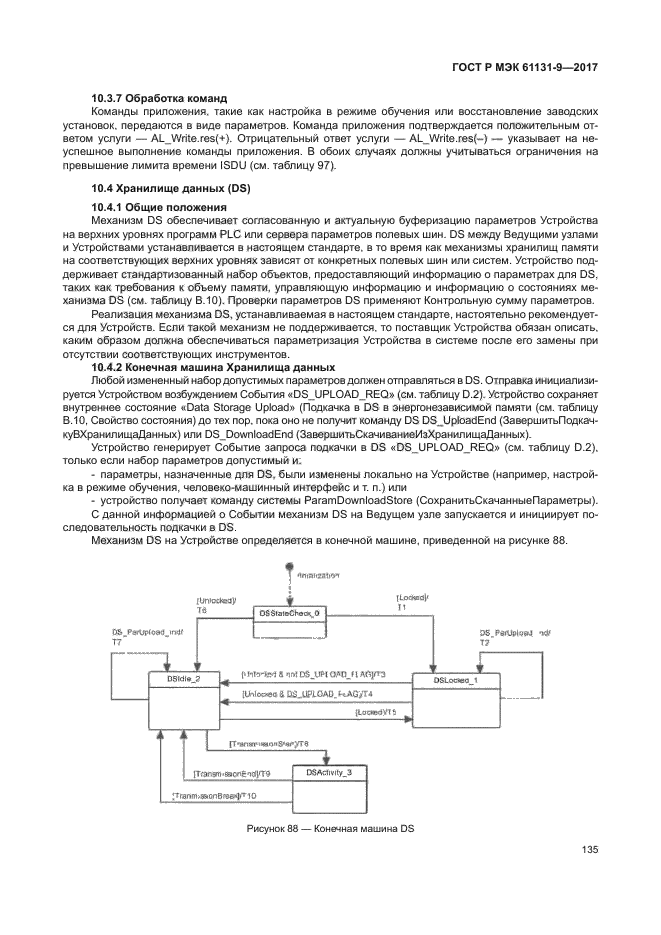
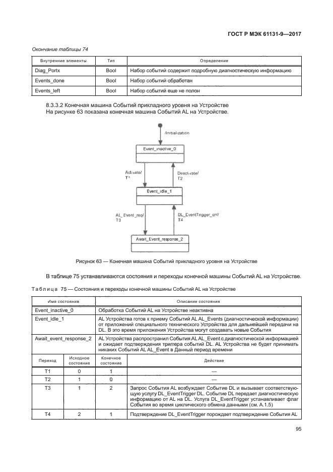
Информационная система
«Ёшкин Кот»

Скачать базу одним архивом
Скачать обновления
История создания базы
Карта сайта

Скачать ГОСТ Р МЭК 61131-9-2017 Контролеры программируемые. Часть 9. Одноточечный интерфейс цифровой связи для небольших датчиков и исполнительных устройств

Дата актуализации: 01.06.2025

ГОСТ Р МЭК 61131-9-2017

Контролеры программируемые. Часть 9. Одноточечный интерфейс цифровой связи для небольших датчиков и исполнительных устройств

Обозначение: ГОСТ Р МЭК 61131-9-2017
Статус:действующий
Название рус.:Контролеры программируемые. Часть 9. Одноточечный интерфейс цифровой связи для небольших датчиков и исполнительных устройств
Название англ.:Programmable controllers. Singl-drop digital communication interface for small sensors and actuators (SDCI)
Дата актуализации текста:01.01.2018
Дата актуализации описания:01.07.2023
Дата издания:19.10.2017
Дата введения:01.09.2018
Аутентичен стандартам:IEC 61131-9(2013)
Нормативные ссылки:ISO/IEC 646:1991;ISO/IEC 10646;ISO/IEC 10731;ISO/IEC 19505;ISO 1177;IEC 60947-5-2;IEC 61000-4-2;IEC 61000-4-3;IEC 61000-4-4;IEC 61000-4-5;IEC 61000-4-6;IEC 61000-4-11;IEC 61000-6-2;IEC 61000-6-4;IEC 61076-2-101;IEC 61131-1;IEC 61131-2;IEC/TR 62390;IEEE Std 754-2008
Область применения:Настоящий стандарт устанавливает технологию одноточечного интерфейса цифровой связи SDCI для небольших датчиков и исполнительных устройств (более известных под названием IO-Link tm1, которая расширяет традиционные интерфейсы цифрового ввода и вывода, определенные в МЭК 61131-2, к двухточечной линии связи. Данная технология делает возможным передачу параметров Устройствам и доставку диагностических данных от Устройств к системе автоматизации. Данная технология, в основном, предназначена для применения в системах автоматизации производства с небольшими датчиками и исполнительными устройствами, которые включают в себя небольшие и экономически эффективные микроконтроллеры. Настоящий стандарт устанавливает услуги связи SDCI и протокол (физический уровень, канальный уровень и прикладной уровень в соответствии с эталонной моделью ISO/OSI) как для Ведущих узловSDCI, так и для Устройств. Настоящий стандарт также устанавливает требования к испытаниям на электромагнитную совместимость. Настоящий стандарт не распространяется на интерфейсы связи или системы, включающие многоточечные соединения, а также интеграцию SDCI в системах более высокого уровня, таких как полевые шины
Расположен в:Государственные стандарты Общероссийский классификатор стандартов Машиностроение Промышленные автоматизированные системы Измерение и контроль производственного процесса Информационные технологии. Машины конторские Применение информационных технологий Применение информационных технологий в промышленности Классификатор государственных стандартов Измерительные приборы. Средства автоматизации и вычислительной техники Общие правила и нормы по приборостроительной промышленности Термины и обозначения
ГОСТ Р МЭК 61131-9-2017ГОСТ Р МЭК 61131-9-2017ГОСТ Р МЭК 61131-9-2017ГОСТ Р МЭК 61131-9-2017ГОСТ Р МЭК 61131-9-2017ГОСТ Р МЭК 61131-9-2017ГОСТ Р МЭК 61131-9-2017ГОСТ Р МЭК 61131-9-2017ГОСТ Р МЭК 61131-9-2017ГОСТ Р МЭК 61131-9-2017ГОСТ Р МЭК 61131-9-2017ГОСТ Р МЭК 61131-9-2017ГОСТ Р МЭК 61131-9-2017ГОСТ Р МЭК 61131-9-2017ГОСТ Р МЭК 61131-9-2017ГОСТ Р МЭК 61131-9-2017ГОСТ Р МЭК 61131-9-2017ГОСТ Р МЭК 61131-9-2017ГОСТ Р МЭК 61131-9-2017ГОСТ Р МЭК 61131-9-2017ГОСТ Р МЭК 61131-9-2017ГОСТ Р МЭК 61131-9-2017ГОСТ Р МЭК 61131-9-2017ГОСТ Р МЭК 61131-9-2017ГОСТ Р МЭК 61131-9-2017ГОСТ Р МЭК 61131-9-2017ГОСТ Р МЭК 61131-9-2017ГОСТ Р МЭК 61131-9-2017ГОСТ Р МЭК 61131-9-2017ГОСТ Р МЭК 61131-9-2017ГОСТ Р МЭК 61131-9-2017ГОСТ Р МЭК 61131-9-2017ГОСТ Р МЭК 61131-9-2017ГОСТ Р МЭК 61131-9-2017ГОСТ Р МЭК 61131-9-2017ГОСТ Р МЭК 61131-9-2017ГОСТ Р МЭК 61131-9-2017ГОСТ Р МЭК 61131-9-2017ГОСТ Р МЭК 61131-9-2017ГОСТ Р МЭК 61131-9-2017ГОСТ Р МЭК 61131-9-2017ГОСТ Р МЭК 61131-9-2017ГОСТ Р МЭК 61131-9-2017ГОСТ Р МЭК 61131-9-2017ГОСТ Р МЭК 61131-9-2017ГОСТ Р МЭК 61131-9-2017ГОСТ Р МЭК 61131-9-2017ГОСТ Р МЭК 61131-9-2017ГОСТ Р МЭК 61131-9-2017ГОСТ Р МЭК 61131-9-2017ГОСТ Р МЭК 61131-9-2017ГОСТ Р МЭК 61131-9-2017ГОСТ Р МЭК 61131-9-2017ГОСТ Р МЭК 61131-9-2017ГОСТ Р МЭК 61131-9-2017ГОСТ Р МЭК 61131-9-2017ГОСТ Р МЭК 61131-9-2017ГОСТ Р МЭК 61131-9-2017ГОСТ Р МЭК 61131-9-2017ГОСТ Р МЭК 61131-9-2017ГОСТ Р МЭК 61131-9-2017ГОСТ Р МЭК 61131-9-2017ГОСТ Р МЭК 61131-9-2017ГОСТ Р МЭК 61131-9-2017ГОСТ Р МЭК 61131-9-2017ГОСТ Р МЭК 61131-9-2017ГОСТ Р МЭК 61131-9-2017ГОСТ Р МЭК 61131-9-2017ГОСТ Р МЭК 61131-9-2017ГОСТ Р МЭК 61131-9-2017ГОСТ Р МЭК 61131-9-2017ГОСТ Р МЭК 61131-9-2017ГОСТ Р МЭК 61131-9-2017ГОСТ Р МЭК 61131-9-2017ГОСТ Р МЭК 61131-9-2017ГОСТ Р МЭК 61131-9-2017ГОСТ Р МЭК 61131-9-2017ГОСТ Р МЭК 61131-9-2017ГОСТ Р МЭК 61131-9-2017ГОСТ Р МЭК 61131-9-2017ГОСТ Р МЭК 61131-9-2017ГОСТ Р МЭК 61131-9-2017ГОСТ Р МЭК 61131-9-2017ГОСТ Р МЭК 61131-9-2017ГОСТ Р МЭК 61131-9-2017ГОСТ Р МЭК 61131-9-2017ГОСТ Р МЭК 61131-9-2017ГОСТ Р МЭК 61131-9-2017ГОСТ Р МЭК 61131-9-2017ГОСТ Р МЭК 61131-9-2017ГОСТ Р МЭК 61131-9-2017ГОСТ Р МЭК 61131-9-2017ГОСТ Р МЭК 61131-9-2017ГОСТ Р МЭК 61131-9-2017ГОСТ Р МЭК 61131-9-2017ГОСТ Р МЭК 61131-9-2017ГОСТ Р МЭК 61131-9-2017ГОСТ Р МЭК 61131-9-2017ГОСТ Р МЭК 61131-9-2017ГОСТ Р МЭК 61131-9-2017ГОСТ Р МЭК 61131-9-2017ГОСТ Р МЭК 61131-9-2017ГОСТ Р МЭК 61131-9-2017ГОСТ Р МЭК 61131-9-2017ГОСТ Р МЭК 61131-9-2017ГОСТ Р МЭК 61131-9-2017ГОСТ Р МЭК 61131-9-2017ГОСТ Р МЭК 61131-9-2017ГОСТ Р МЭК 61131-9-2017ГОСТ Р МЭК 61131-9-2017ГОСТ Р МЭК 61131-9-2017ГОСТ Р МЭК 61131-9-2017ГОСТ Р МЭК 61131-9-2017ГОСТ Р МЭК 61131-9-2017ГОСТ Р МЭК 61131-9-2017ГОСТ Р МЭК 61131-9-2017ГОСТ Р МЭК 61131-9-2017ГОСТ Р МЭК 61131-9-2017ГОСТ Р МЭК 61131-9-2017ГОСТ Р МЭК 61131-9-2017ГОСТ Р МЭК 61131-9-2017ГОСТ Р МЭК 61131-9-2017ГОСТ Р МЭК 61131-9-2017ГОСТ Р МЭК 61131-9-2017ГОСТ Р МЭК 61131-9-2017ГОСТ Р МЭК 61131-9-2017ГОСТ Р МЭК 61131-9-2017ГОСТ Р МЭК 61131-9-2017ГОСТ Р МЭК 61131-9-2017ГОСТ Р МЭК 61131-9-2017ГОСТ Р МЭК 61131-9-2017ГОСТ Р МЭК 61131-9-2017ГОСТ Р МЭК 61131-9-2017ГОСТ Р МЭК 61131-9-2017ГОСТ Р МЭК 61131-9-2017ГОСТ Р МЭК 61131-9-2017ГОСТ Р МЭК 61131-9-2017ГОСТ Р МЭК 61131-9-2017ГОСТ Р МЭК 61131-9-2017ГОСТ Р МЭК 61131-9-2017ГОСТ Р МЭК 61131-9-2017ГОСТ Р МЭК 61131-9-2017ГОСТ Р МЭК 61131-9-2017ГОСТ Р МЭК 61131-9-2017ГОСТ Р МЭК 61131-9-2017ГОСТ Р МЭК 61131-9-2017ГОСТ Р МЭК 61131-9-2017ГОСТ Р МЭК 61131-9-2017ГОСТ Р МЭК 61131-9-2017ГОСТ Р МЭК 61131-9-2017ГОСТ Р МЭК 61131-9-2017ГОСТ Р МЭК 61131-9-2017ГОСТ Р МЭК 61131-9-2017ГОСТ Р МЭК 61131-9-2017ГОСТ Р МЭК 61131-9-2017ГОСТ Р МЭК 61131-9-2017ГОСТ Р МЭК 61131-9-2017ГОСТ Р МЭК 61131-9-2017ГОСТ Р МЭК 61131-9-2017ГОСТ Р МЭК 61131-9-2017ГОСТ Р МЭК 61131-9-2017ГОСТ Р МЭК 61131-9-2017ГОСТ Р МЭК 61131-9-2017ГОСТ Р МЭК 61131-9-2017ГОСТ Р МЭК 61131-9-2017ГОСТ Р МЭК 61131-9-2017ГОСТ Р МЭК 61131-9-2017ГОСТ Р МЭК 61131-9-2017ГОСТ Р МЭК 61131-9-2017ГОСТ Р МЭК 61131-9-2017ГОСТ Р МЭК 61131-9-2017ГОСТ Р МЭК 61131-9-2017ГОСТ Р МЭК 61131-9-2017ГОСТ Р МЭК 61131-9-2017ГОСТ Р МЭК 61131-9-2017ГОСТ Р МЭК 61131-9-2017ГОСТ Р МЭК 61131-9-2017ГОСТ Р МЭК 61131-9-2017ГОСТ Р МЭК 61131-9-2017ГОСТ Р МЭК 61131-9-2017ГОСТ Р МЭК 61131-9-2017ГОСТ Р МЭК 61131-9-2017ГОСТ Р МЭК 61131-9-2017ГОСТ Р МЭК 61131-9-2017ГОСТ Р МЭК 61131-9-2017ГОСТ Р МЭК 61131-9-2017ГОСТ Р МЭК 61131-9-2017ГОСТ Р МЭК 61131-9-2017ГОСТ Р МЭК 61131-9-2017ГОСТ Р МЭК 61131-9-2017ГОСТ Р МЭК 61131-9-2017ГОСТ Р МЭК 61131-9-2017ГОСТ Р МЭК 61131-9-2017ГОСТ Р МЭК 61131-9-2017ГОСТ Р МЭК 61131-9-2017ГОСТ Р МЭК 61131-9-2017ГОСТ Р МЭК 61131-9-2017ГОСТ Р МЭК 61131-9-2017ГОСТ Р МЭК 61131-9-2017ГОСТ Р МЭК 61131-9-2017ГОСТ Р МЭК 61131-9-2017ГОСТ Р МЭК 61131-9-2017ГОСТ Р МЭК 61131-9-2017ГОСТ Р МЭК 61131-9-2017ГОСТ Р МЭК 61131-9-2017ГОСТ Р МЭК 61131-9-2017ГОСТ Р МЭК 61131-9-2017ГОСТ Р МЭК 61131-9-2017ГОСТ Р МЭК 61131-9-2017ГОСТ Р МЭК 61131-9-2017ГОСТ Р МЭК 61131-9-2017ГОСТ Р МЭК 61131-9-2017ГОСТ Р МЭК 61131-9-2017ГОСТ Р МЭК 61131-9-2017ГОСТ Р МЭК 61131-9-2017ГОСТ Р МЭК 61131-9-2017ГОСТ Р МЭК 61131-9-2017ГОСТ Р МЭК 61131-9-2017ГОСТ Р МЭК 61131-9-2017ГОСТ Р МЭК 61131-9-2017ГОСТ Р МЭК 61131-9-2017ГОСТ Р МЭК 61131-9-2017ГОСТ Р МЭК 61131-9-2017ГОСТ Р МЭК 61131-9-2017ГОСТ Р МЭК 61131-9-2017ГОСТ Р МЭК 61131-9-2017ГОСТ Р МЭК 61131-9-2017ГОСТ Р МЭК 61131-9-2017ГОСТ Р МЭК 61131-9-2017ГОСТ Р МЭК 61131-9-2017ГОСТ Р МЭК 61131-9-2017ГОСТ Р МЭК 61131-9-2017ГОСТ Р МЭК 61131-9-2017ГОСТ Р МЭК 61131-9-2017ГОСТ Р МЭК 61131-9-2017ГОСТ Р МЭК 61131-9-2017ГОСТ Р МЭК 61131-9-2017ГОСТ Р МЭК 61131-9-2017ГОСТ Р МЭК 61131-9-2017ГОСТ Р МЭК 61131-9-2017ГОСТ Р МЭК 61131-9-2017ГОСТ Р МЭК 61131-9-2017

© 2013 Ёшкин Кот :-) Карта сайта