Информационная система
«Ёшкин Кот»

Скачать базу одним архивом
Скачать обновления
История создания базы
Карта сайта

Скачать ГОСТ Р 50779.29-2017 Статистические методы. Статистическое представление данных. Часть 6. Определение статистических толерантных интервалов

Дата актуализации: 01.06.2025

ГОСТ Р 50779.29-2017

Статистические методы. Статистическое представление данных. Часть 6. Определение статистических толерантных интервалов

Обозначение: ГОСТ Р 50779.29-2017
Статус:действующий
Название рус.:Статистические методы. Статистическое представление данных. Часть 6. Определение статистических толерантных интервалов
Название англ.:Statistical methods. Statistical interpretation of data. Determination of statistical tolerance intervals
Дата актуализации текста:01.06.2021
Дата актуализации описания:01.06.2021
Дата издания:02.11.2020
Дата введения:01.12.2018
Взамен:ГОСТ Р ИСО 16269-6-2005
Содержит требования:ISO 16269-6:2014
Нормативные ссылки:ГОСТ Р ИСO 16269-4
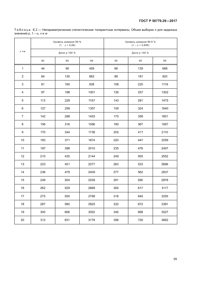
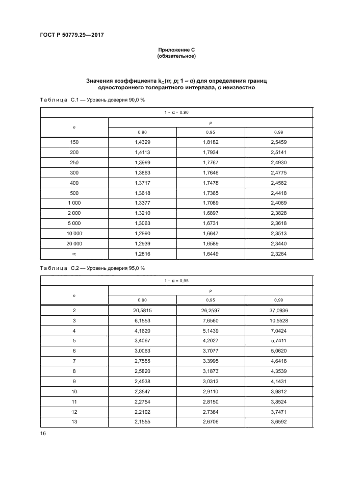
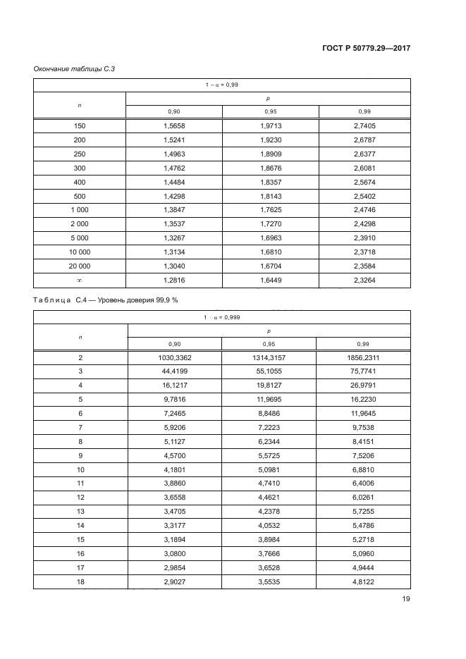
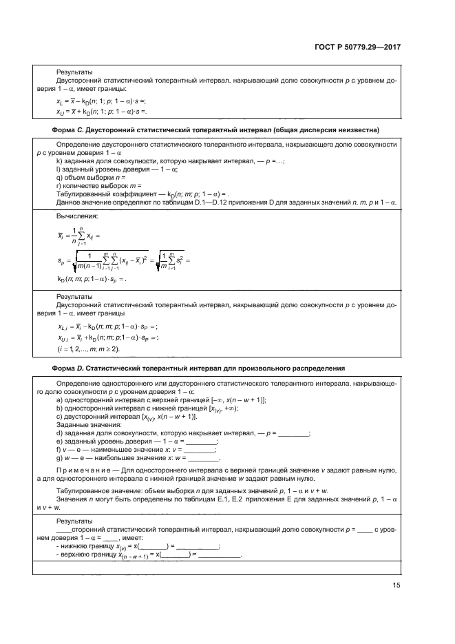
Область применения:В настоящем стандарте установлены процедуры определения границ толерантных интервалов, которые накрывают долю совокупности не менее заданной. Приведенные методы позволяют определять как односторонние интервалы, имеющие только верхнюю или только нижнюю границу, так и двусторонние интервалы, имеющие и верхнюю и нижнюю границы. В настоящем стандарте установлены параметрический метод определения толерантных интервалов для нормального распределения и непараметрический метод. Непараметрический метод определения толерантных интервалов не требует знания вида функции распределения, но применим лишь в тех случаях, когда известно, что функция распределения совокупности непрерывна. Также представлены процедуры для определения двустороннего толерантного интервала для более чем одной выборки из нормального распределения, если распределения выборок имеют одну и ту же неизвестную дисперсию
Расположен в:Государственные стандарты Общероссийский классификатор стандартов Услуги. Организация фирм, управление и качество. Администрация. Транспорт. Социология. Качество Применение статистических методов Классификатор государственных стандартов Общетехнические и организационно-методические стандарты Система документации Общие методы и средства контроля и испытания продукции. Методы статистического контроля качества, надежности, долговечности
ГОСТ Р 50779.29-2017ГОСТ Р 50779.29-2017ГОСТ Р 50779.29-2017ГОСТ Р 50779.29-2017ГОСТ Р 50779.29-2017ГОСТ Р 50779.29-2017ГОСТ Р 50779.29-2017ГОСТ Р 50779.29-2017ГОСТ Р 50779.29-2017ГОСТ Р 50779.29-2017ГОСТ Р 50779.29-2017ГОСТ Р 50779.29-2017ГОСТ Р 50779.29-2017ГОСТ Р 50779.29-2017ГОСТ Р 50779.29-2017ГОСТ Р 50779.29-2017ГОСТ Р 50779.29-2017ГОСТ Р 50779.29-2017ГОСТ Р 50779.29-2017ГОСТ Р 50779.29-2017ГОСТ Р 50779.29-2017ГОСТ Р 50779.29-2017ГОСТ Р 50779.29-2017ГОСТ Р 50779.29-2017ГОСТ Р 50779.29-2017ГОСТ Р 50779.29-2017ГОСТ Р 50779.29-2017ГОСТ Р 50779.29-2017ГОСТ Р 50779.29-2017ГОСТ Р 50779.29-2017ГОСТ Р 50779.29-2017ГОСТ Р 50779.29-2017ГОСТ Р 50779.29-2017ГОСТ Р 50779.29-2017ГОСТ Р 50779.29-2017ГОСТ Р 50779.29-2017ГОСТ Р 50779.29-2017ГОСТ Р 50779.29-2017ГОСТ Р 50779.29-2017ГОСТ Р 50779.29-2017ГОСТ Р 50779.29-2017ГОСТ Р 50779.29-2017ГОСТ Р 50779.29-2017ГОСТ Р 50779.29-2017ГОСТ Р 50779.29-2017ГОСТ Р 50779.29-2017ГОСТ Р 50779.29-2017ГОСТ Р 50779.29-2017ГОСТ Р 50779.29-2017

© 2013 Ёшкин Кот :-) Карта сайта