| Обозначение: |  ГОСТ Р 43.0.8-2017 |
| Статус: | действующий |
| Название рус.: | Информационное обеспечение техники и операторской деятельности. Искусственно-интеллектуализированное человекоинформационное взаимодействие. Общие положения |
| Название англ.: | Informational ensuring of equipment and operational activity. Artificial intellect on interaction man and information. General principles |
| Дата актуализации текста: | 01.01.2021 |
| Дата актуализации описания: | 01.07.2023 |
| Дата издания: | 23.10.2018 |
| Дата введения: | 01.06.2018 |
| Нормативные ссылки: | ГОСТ Р 43.0.1; ГОСТ Р 43.0.2-2006; ГОСТ Р 43.0.3; ГОСТ Р 43.0.4-2009; ГОСТ Р 43.2.1; ГОСТ Р 43.4.1 |
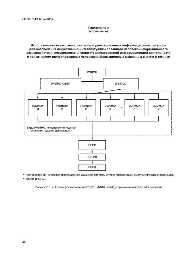
| Область применения: | Настоящий стандарт устанавливает общие, основные положения, относящиеся к искусственно-интеллектуализированному человекоинформационному взаимодействию (ИИЧИВ) оператора в технической деятельности. Положения настоящего стандарта, относящиеся к подготовке и проведению ИИЧИВ, могут быть реализованы в информационных технологиях для нормативно-регулируемого образования и использования следующего: - естественно-интеллектуализированного человекоинформационного взаимодействия (ЕИЧИВ); - гибридно-интеллектуализированного человекоинформационного взаимодействия (ГИЧИВ); - естественного интеллекта (ЕИ); - гибридного интеллекта (ГИ); - компонентного искусственного интеллекта (КИИ); - искусственного интеллекта (ИИ). Положения настоящего стандарта могут быть также использованы для нормативного регулирования процессов: - разработки и совершенствования знаковых компонентов ЯзОД, сведений, обеспечивающих представление их в интерактивно-активно управляемом виде для изложения технических сообщений; - проведения направленной адаптированно-корректируемой интеллектуализации мышления оператора при обучении, осуществлении им практической деятельности; - проведения направленного развития способностей мышления оператора для адаптации к необходимой предметно-информационой деятельности; - выработки необходимых интеллектуальных навыков, умений по применению полученных знаний в практической деятельности. |
|
| Расположен в: |
|