Информационная система
«Ёшкин Кот»

Скачать базу одним архивом
Скачать обновления
История создания базы
Карта сайта

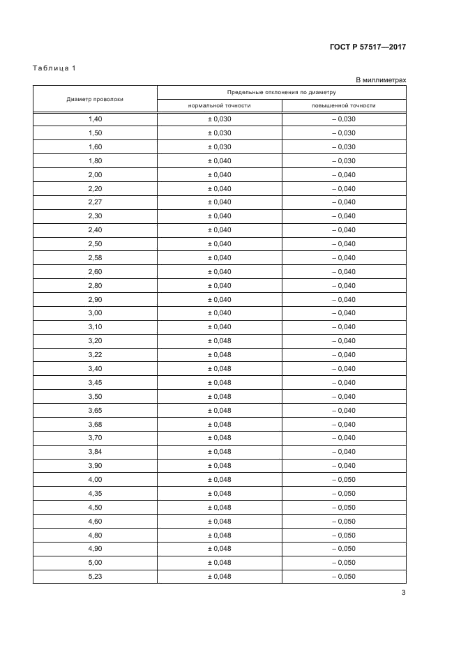
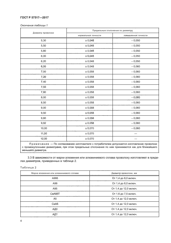
Скачать ГОСТ Р 57517-2017 Проволока тянутая из алюминия и алюминиевых сплавов общего назначения. Технические условия

Дата актуализации: 01.06.2025

ГОСТ Р 57517-2017

Проволока тянутая из алюминия и алюминиевых сплавов общего назначения. Технические условия

Обозначение: ГОСТ Р 57517-2017
Статус:действующий
Название рус.:Проволока тянутая из алюминия и алюминиевых сплавов общего назначения. Технические условия
Название англ.:General-purpose aluminium and aluminium alloys drawn wire. Specifications
Дата актуализации текста:10.08.2017
Дата актуализации описания:01.07.2023
Дата издания:11.07.2017
Дата введения:01.02.2018
Нормативные ссылки:ГОСТ 9.510-93;ГОСТ 3221-85;ГОСТ 4784-97;ГОСТ 6507-90;ГОСТ 7727-81;ГОСТ 7871-75;ГОСТ 10446-80;ГОСТ 11069-2001;ГОСТ 11739.1-90;ГОСТ 11739.2-90;ГОСТ 11739.3-99;ГОСТ 11739.4-90;ГОСТ 11739.5-90;ГОСТ 11739.6-99;ГОСТ 11739.7-99;ГОСТ 11739.8-90;ГОСТ 11739.9-90;ГОСТ 11739.10-90;ГОСТ 11739.11-98;ГОСТ 11739.12-98;ГОСТ 11739.13-98;ГОСТ 11739.14-99;ГОСТ 11739.15-99;ГОСТ 11739.16-90;ГОСТ 11739.17-90;ГОСТ 11739.18-90;ГОСТ 11739.19-90;ГОСТ 11739.20-99;ГОСТ 11739.21-90;ГОСТ 11739.22-90;ГОСТ 11739.23-99;ГОСТ 11739.24-98;ГОСТ 11739.25-90;ГОСТ 11739.26-90;ГОСТ 12697.1-77;ГОСТ 12697.2-77;ГОСТ 12697.3-77;ГОСТ 12697.4-77;ГОСТ 12697.5-77;ГОСТ 12697.6-77;ГОСТ 12697.7-77;ГОСТ 12697.8-77;ГОСТ 12697.9-77;ГОСТ 12697.10-77;ГОСТ 12697.11-77;ГОСТ 12697.12-77;ГОСТ 12697.13-90;ГОСТ 12697.14-90;ГОСТ 14192-96;ГОСТ 25086-2011
Область применения:Настоящий стандарт распространяется на тянутую проволоку из алюминия марок А995, А99, А95, СвА85Т, А5, СвА5, АД0, АД1, АД и алюминиевых сплавов марок АМц, СвАМц, АМг2, АМг5П, АВч, АВП, Д1П, Д16П, Д18, В65, СвАК5 общего назначения
Расположен в:Государственные стандарты Общероссийский классификатор стандартов Металлургия Продукция из цветных металлов Продукция из алюминия Классификатор государственных стандартов Металлы и металлические изделия Проволока и проволочные изделия Проволока из цветных металлов и их сплавов
ГОСТ Р 57517-2017ГОСТ Р 57517-2017ГОСТ Р 57517-2017ГОСТ Р 57517-2017ГОСТ Р 57517-2017ГОСТ Р 57517-2017ГОСТ Р 57517-2017ГОСТ Р 57517-2017ГОСТ Р 57517-2017ГОСТ Р 57517-2017ГОСТ Р 57517-2017ГОСТ Р 57517-2017

© 2013 Ёшкин Кот :-) Карта сайта