Информационная система
«Ёшкин Кот»

Скачать базу одним архивом
Скачать обновления
История создания базы
Карта сайта

Скачать ГОСТ Р 57509-2017 Информатизация здоровья. Обмен данными с персональными медицинскими приборами. Часть 10407. Специализация устройства. Монитор артериального давления

Дата актуализации: 01.06.2025

ГОСТ Р 57509-2017

Информатизация здоровья. Обмен данными с персональными медицинскими приборами. Часть 10407. Специализация устройства. Монитор артериального давления

Обозначение: ГОСТ Р 57509-2017
Статус:действующий
Название рус.:Информатизация здоровья. Обмен данными с персональными медицинскими приборами. Часть 10407. Специализация устройства. Монитор артериального давления
Название англ.:Health informatics. Personal health device communication. Part 10407. Device specialization. Blood pressure monitor
Дата актуализации текста:10.08.2017
Дата актуализации описания:01.01.2021
Дата издания:28.06.2017
Дата введения:01.07.2019
Аутентичен стандартам:ISO/IEEE 11073-10407:2010
Нормативные ссылки:IEEE Std 11073-20601™-2008
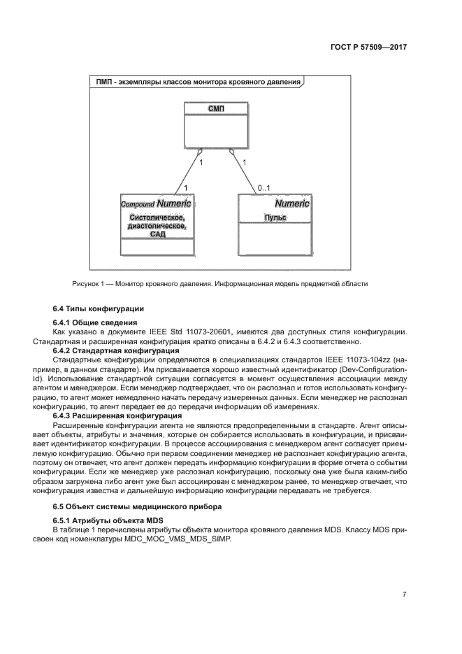
Область применения:В контексте семейства стандартов ИСО/ИИЭР 11073 по обмену данными с медицинскими приборами настоящий стандарт дает нормативное определение обмена данными между персональными телемедицинскими мониторами артериального давления и вычислительными устройствами (например, мобильными телефонами, персональными компьютерами, персональными медицинскими приборами и ТВ-приставками), при котором достигается интероперабельность plug-and-play («вставил-заработало»). Он усиливает соответствующие разделы существующих стандартов, включая терминологию ИСО/ИИЭР 11073, информационные модели, прикладные профили стандартов и стандарты передачи данных. Он описывает использование конкретных кодов терминов, форматов и поведения в телемедицинской среде, ограничивая необязательность требований, приведенных в базовых стандартах, в пользу интероперабельности. Настоящий стандарт определяет основные требования к коммуникационной функциональности персональных телемедицинских мониторов артериального давления
Расположен в:Государственные стандарты Общероссийский классификатор стандартов Информационные технологии. Машины конторские Применение информационных технологий Применение информационных технологий в здравоохранении Классификатор государственных стандартов Измерительные приборы. Средства автоматизации и вычислительной техники Средства вычислительной техники и автоматизированные системы управления Виды представления информации и математическое обеспечение машин
ГОСТ Р 57509-2017ГОСТ Р 57509-2017ГОСТ Р 57509-2017ГОСТ Р 57509-2017ГОСТ Р 57509-2017ГОСТ Р 57509-2017ГОСТ Р 57509-2017ГОСТ Р 57509-2017ГОСТ Р 57509-2017ГОСТ Р 57509-2017ГОСТ Р 57509-2017ГОСТ Р 57509-2017ГОСТ Р 57509-2017ГОСТ Р 57509-2017ГОСТ Р 57509-2017ГОСТ Р 57509-2017ГОСТ Р 57509-2017ГОСТ Р 57509-2017ГОСТ Р 57509-2017ГОСТ Р 57509-2017ГОСТ Р 57509-2017ГОСТ Р 57509-2017ГОСТ Р 57509-2017ГОСТ Р 57509-2017ГОСТ Р 57509-2017ГОСТ Р 57509-2017ГОСТ Р 57509-2017ГОСТ Р 57509-2017ГОСТ Р 57509-2017ГОСТ Р 57509-2017ГОСТ Р 57509-2017ГОСТ Р 57509-2017ГОСТ Р 57509-2017ГОСТ Р 57509-2017ГОСТ Р 57509-2017ГОСТ Р 57509-2017ГОСТ Р 57509-2017ГОСТ Р 57509-2017ГОСТ Р 57509-2017ГОСТ Р 57509-2017ГОСТ Р 57509-2017ГОСТ Р 57509-2017ГОСТ Р 57509-2017ГОСТ Р 57509-2017ГОСТ Р 57509-2017ГОСТ Р 57509-2017ГОСТ Р 57509-2017ГОСТ Р 57509-2017ГОСТ Р 57509-2017ГОСТ Р 57509-2017

© 2013 Ёшкин Кот :-) Карта сайта