Информационная система
«Ёшкин Кот»

Скачать базу одним архивом
Скачать обновления
История создания базы
Карта сайта

Скачать ГОСТ IEC 60848-2016 Язык спецификаций GRAFCET для последовательных функциональных схем

Дата актуализации: 01.06.2025

ГОСТ IEC 60848-2016

Язык спецификаций GRAFCET для последовательных функциональных схем

Обозначение: ГОСТ IEC 60848-2016
Статус:действующий
Название рус.:Язык спецификаций GRAFCET для последовательных функциональных схем
Название англ.:GRAFCET specification language for sequential function charts
Дата актуализации текста:01.01.2021
Дата актуализации описания:01.01.2021
Дата регистрации:27.09.2016
Дата издания:30.01.2019
Дата введения:01.09.2017
Аутентичен стандартам:IEC 60848(2013)
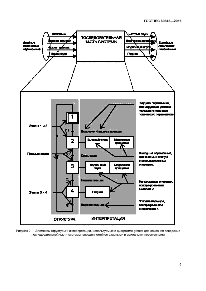
Область применения:Настоящий стандарт распространяется на язык спецификаций GRAFCET, предназначенный для функционального описания поведения последовательного контроля системы управления. Настоящий стандарт устанавливает символы и правила для графического представления этого языка, а также для его интерпретации. Настоящий стандарт был подготовлен для автоматизированных производственных систем промышленного назначения. Однако он может применяться и в других областях. Методы разработки спецификаций с использованием языка GRAFCET выходят за рамки настоящего стандарта. Одним из методов является, например, «язык SFC», установленный в IEC 61131-3, который определяет набор языков программирования для программируемых контроллеров
Расположен в:Государственные стандарты Общероссийский классификатор стандартов Информационные технологии. Машины конторские Программное обеспечение Классификатор государственных стандартов Общетехнические и организационно-методические стандарты Система документации Система административно-управленческой документации, документооборота, организация архивного дела
ГОСТ IEC 60848-2016ГОСТ IEC 60848-2016ГОСТ IEC 60848-2016ГОСТ IEC 60848-2016ГОСТ IEC 60848-2016ГОСТ IEC 60848-2016ГОСТ IEC 60848-2016ГОСТ IEC 60848-2016ГОСТ IEC 60848-2016ГОСТ IEC 60848-2016ГОСТ IEC 60848-2016ГОСТ IEC 60848-2016ГОСТ IEC 60848-2016ГОСТ IEC 60848-2016ГОСТ IEC 60848-2016ГОСТ IEC 60848-2016ГОСТ IEC 60848-2016ГОСТ IEC 60848-2016ГОСТ IEC 60848-2016ГОСТ IEC 60848-2016ГОСТ IEC 60848-2016ГОСТ IEC 60848-2016ГОСТ IEC 60848-2016ГОСТ IEC 60848-2016ГОСТ IEC 60848-2016ГОСТ IEC 60848-2016ГОСТ IEC 60848-2016ГОСТ IEC 60848-2016ГОСТ IEC 60848-2016ГОСТ IEC 60848-2016ГОСТ IEC 60848-2016ГОСТ IEC 60848-2016ГОСТ IEC 60848-2016ГОСТ IEC 60848-2016ГОСТ IEC 60848-2016ГОСТ IEC 60848-2016ГОСТ IEC 60848-2016ГОСТ IEC 60848-2016ГОСТ IEC 60848-2016ГОСТ IEC 60848-2016ГОСТ IEC 60848-2016ГОСТ IEC 60848-2016ГОСТ IEC 60848-2016ГОСТ IEC 60848-2016ГОСТ IEC 60848-2016ГОСТ IEC 60848-2016ГОСТ IEC 60848-2016ГОСТ IEC 60848-2016ГОСТ IEC 60848-2016

© 2013 Ёшкин Кот :-) Карта сайта