Информационная система
«Ёшкин Кот»

Скачать базу одним архивом
Скачать обновления
История создания базы
Карта сайта

Скачать ГОСТ Р 57377-2016 Информатизация здоровья. Функциональная совместимость систем и сетей телездравоохранения. Часть 2. Системы реального времени

Дата актуализации: 01.06.2025

ГОСТ Р 57377-2016

Информатизация здоровья. Функциональная совместимость систем и сетей телездравоохранения. Часть 2. Системы реального времени

Обозначение: ГОСТ Р 57377-2016
Статус:действующий
Название рус.:Информатизация здоровья. Функциональная совместимость систем и сетей телездравоохранения. Часть 2. Системы реального времени
Название англ.:Health informatics. Interoperability of telehealth systems and networks. Part 2. Real-time systems
Дата актуализации текста:01.01.2021
Дата актуализации описания:01.07.2023
Дата издания:08.02.2017
Дата введения:01.01.2018
Аутентичен стандартам:ISO/TR 16056-2:2004
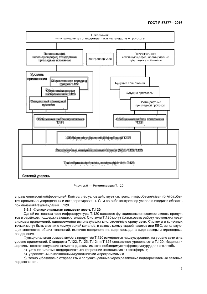
Нормативные ссылки:ISO/IEC 17000:2004;CEN/TC 251/N99-097 (1999);ITU-T Recommendation G.711 (1988);ITU-T Recommendation G.722 (1993);ITU-T Recommendation G.728 (1992);ITU-T Recommendation H.221 (1993);ITU-T Recommendation H.230 (1997);ITU-T Recommendation H.242 (1996);ITU-T Recommendation H.243 (1997);ITU-T Recommendation H.224 (1994);ITU-T Recommendation H.281 (1994);ITU-T Recommendation H.233 (1996);ITU-T Recommendation H.234 (1996);ITU-T Recommendation H.320 (1996);ITU-T Recommendation T.120 (1996);ITU-T Recommendation T.121 (1996);ITU-T Recommendation T.122 (1993);ITU-T Recommendation Т.123 (1994);ITU-T Recommendation T.124 (1995);ITU-T Recommendation T.125 (1994);ITU-T Recommendation T.126 (1995);ITU-T Recommendation T.127 (1995)
Область применения:Настоящий стандарт уделяет особое внимание техническим стандартам, связанным с приложениями реального времени, (включая конференции с передачей видео, аудио и данных) и аспектам функциональной совместимости систем и сетей телездравоохранения. Настоящий стандарт рассматривает четыре основные области: 1) Стандарты для систем телездравоохранения реального времени. Настоящий стандарт описывает технические стандарты, связанные с приложениями телездравоохранения реального времени, включая возможности проведения конференций с передачей видео, аудио и данных. Он также определяет пробелы, перекрытия и противоречивости в стандартах и дает ряд руководств по тому, как они должны развиваться. 2) Вопросы функциональной совместимости приложений телездравоохранения. Настоящий стандарт изучает аспекты функциональной совместимости стандартов мультимедийной конференции в реальном времени и изделий телездравоохранения, а также определяет проблемные вопросы с точки зрения функциональной совместимости, которые необходимо решить. 3) Требования к функционально совместимым системам и сетям телездравоохранения. Настоящий стандарт определяет требования функциональной совместимости на разных уровнях взаимодействия между системами телездравоохранения и дает ряд руководящих указаний о том, как функциональная совместимость может архивироваться. 4) Общие принципы функционально совместимых архитектур. Настоящий стандарт определяет функционально совместимые структурные элементы для решений телездравоохранения и взаимодействия между этими структурными элементами, и изучает возможность стандартизации этих структурных элементов. Область применения настоящего стандарта не включает испытания на соответствие и функциональную совместимость или функциональные технические характеристики для систем и сетей телездравоохранения
Расположен в:Государственные стандарты Общероссийский классификатор стандартов Информационные технологии. Машины конторские Применение информационных технологий Применение информационных технологий в здравоохранении Классификатор государственных стандартов Измерительные приборы. Средства автоматизации и вычислительной техники Средства вычислительной техники и автоматизированные системы управления Виды представления информации и математическое обеспечение машин
ГОСТ Р 57377-2016ГОСТ Р 57377-2016ГОСТ Р 57377-2016ГОСТ Р 57377-2016ГОСТ Р 57377-2016ГОСТ Р 57377-2016ГОСТ Р 57377-2016ГОСТ Р 57377-2016ГОСТ Р 57377-2016ГОСТ Р 57377-2016ГОСТ Р 57377-2016ГОСТ Р 57377-2016ГОСТ Р 57377-2016ГОСТ Р 57377-2016ГОСТ Р 57377-2016ГОСТ Р 57377-2016ГОСТ Р 57377-2016ГОСТ Р 57377-2016ГОСТ Р 57377-2016ГОСТ Р 57377-2016ГОСТ Р 57377-2016ГОСТ Р 57377-2016ГОСТ Р 57377-2016ГОСТ Р 57377-2016ГОСТ Р 57377-2016ГОСТ Р 57377-2016ГОСТ Р 57377-2016ГОСТ Р 57377-2016ГОСТ Р 57377-2016ГОСТ Р 57377-2016ГОСТ Р 57377-2016ГОСТ Р 57377-2016ГОСТ Р 57377-2016ГОСТ Р 57377-2016ГОСТ Р 57377-2016ГОСТ Р 57377-2016ГОСТ Р 57377-2016ГОСТ Р 57377-2016ГОСТ Р 57377-2016ГОСТ Р 57377-2016ГОСТ Р 57377-2016ГОСТ Р 57377-2016ГОСТ Р 57377-2016ГОСТ Р 57377-2016ГОСТ Р 57377-2016

© 2013 Ёшкин Кот :-) Карта сайта