| Обозначение: |  ГОСТ Р ИСО 17090-4-2016 |
| Статус: | действующий |
| Название рус.: | Информатизация здоровья. Инфраструктура с открытым ключом. Часть 4. Электронные подписи медицинских документов |
| Название англ.: | Health informatics. Public key infrastructure. Part 4. Digital Signatures for healthcare documents |
| Дата актуализации текста: | 05.05.2017 |
| Дата актуализации описания: | 01.07.2023 |
| Дата издания: | 30.11.2018 |
| Дата введения: | 01.01.2018 |
| Аутентичен стандартам: | ISO 17090-4:2014 |
| Нормативные ссылки: | ISO 17090-1:2013;ISO 17090-3:2008 |
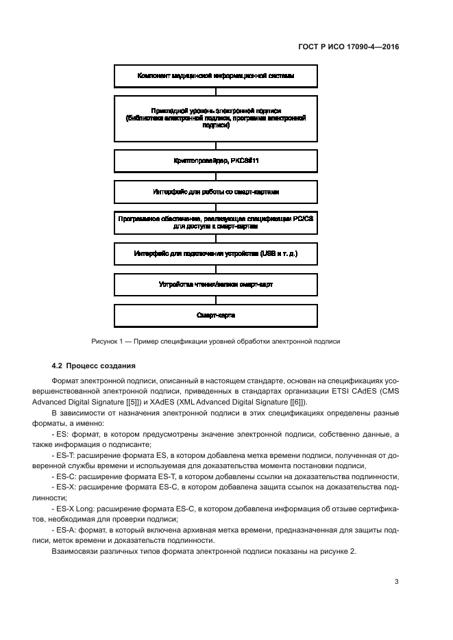
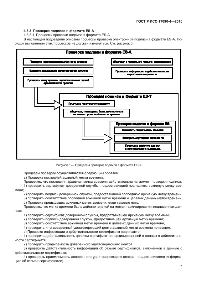
| Область применения: | В настоящем стандарте приведены минимальные требования к созданию и проверке электронных подписей и соответствующих сертификатов, а также к их форматам, способствующие обеспечению возможности обмена электронными подписями и предотвращения некорректных или юридически не признаваемых электронных подписей. Кроме того, в настоящем стандарте определено доказываемое соответствие политике ИОК, необходимое в сфере здравоохранения. В настоящем стандарте признаются форматы долговременной электронной подписи, обеспечивающие целостность и неоспоримость длительно хранящейся электронной медицинской информации. В целях улучшения и гарантирования интероперабельности в сфере здравоохранения настоящий стандарт соответствует стандартам ISO/ETSI, определяющим форматы долговременной электронной подписи. Никакие ограничения на субъект подписываемых данных и их формат в настоящем стандарте не накладываются |
|
| Расположен в: |
|