| Обозначение: |    ГОСТ IEC 62341-6-1-2016 | 
| Статус: | действующий | 
| Название рус.: | Дисплеи на органических светодиодах (OLED). Часть 6-1. Методы измерения оптических и электрооптических параметров | 
| Дата актуализации текста: | 01.01.2021 | 
| Дата актуализации описания: | 01.07.2023 | 
| Дата регистрации: | 28.06.2016 | 
| Дата издания: | 23.04.2017 | 
| Дата введения: | 01.01.2018 | 
| Аутентичен стандартам: | IEC 62341-6-1(2009) | 
| Нормативные ссылки: | IEC 62341-1-2;CIE 15.2:1986;CIE S 014-1/E:2006 | 
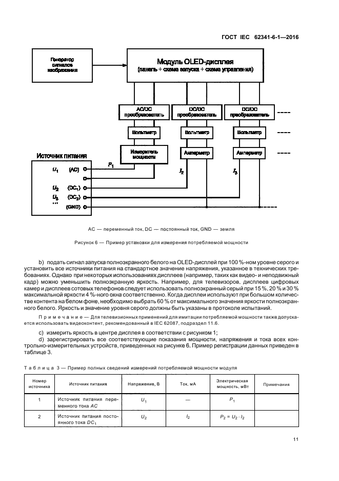
| Область применения: | Настоящий стандарт устанавливает стандартные условия измерений и методы измерений для определения оптических и электрооптических параметров модулей дисплеев на органических светодиодах (OLED) и, при необходимости, дисплейных панелей OLED | 
 | 
| Расположен в: | 
  |