| Обозначение: |  ГОСТ Р 57271.5-2016 |
| Статус: | действующий |
| Название рус.: | Менеджмент вспомогательных процессов в управлении недвижимостью. Часть 5. Руководство по процессам |
| Название англ.: | Facility Management. Part 5. Facility Management processes |
| Дата актуализации текста: | 01.01.2021 |
| Дата актуализации описания: | 01.07.2023 |
| Дата издания: | 17.06.2020 |
| Дата введения: | 01.12.2017 |
| Аутентичен стандартам: | EN 15221-5:2011 |
| Нормативные ссылки: | ЕN 15221-1:2006;ЕN 15221-3:2011;ЕN 15221-4:2011 |
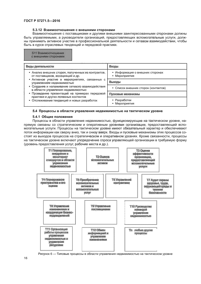
| Область применения: | В настоящем стандарте приведено руководство для организаций, предоставляющих вспомогательные услуги в области управления недвижимостью, по развитию и улучшению своих процессов. В настоящем стандарте приведены основные принципы процессного подхода в области управления недвижимостью, типовые процессы, перечень стратегических, тактических и оперативных процессов, а также примеры процессов. Настоящий стандарт полезен всем заинтересованным сторонам в области управления недвижимостью |
|
| Расположен в: |
|