| Обозначение: |  ГОСТ Р 57301-2016 |
| Статус: | действующий |
| Название рус.: | Информатизация здоровья. Требования защиты и конфиденциальности систем EHR, используемые при оценке соответствия |
| Название англ.: | Health informatics. Security and privacy requirements of EHR systems for use in conformity assessment |
| Дата актуализации текста: | 01.01.2021 |
| Дата актуализации описания: | 01.07.2023 |
| Дата издания: | 20.01.2017 |
| Дата введения: | 01.01.2018 |
| Аутентичен стандартам: | ISO/TS 14441:2013 |
| Нормативные ссылки: | ISO/IEC 17000;ISO 27799:2008 |
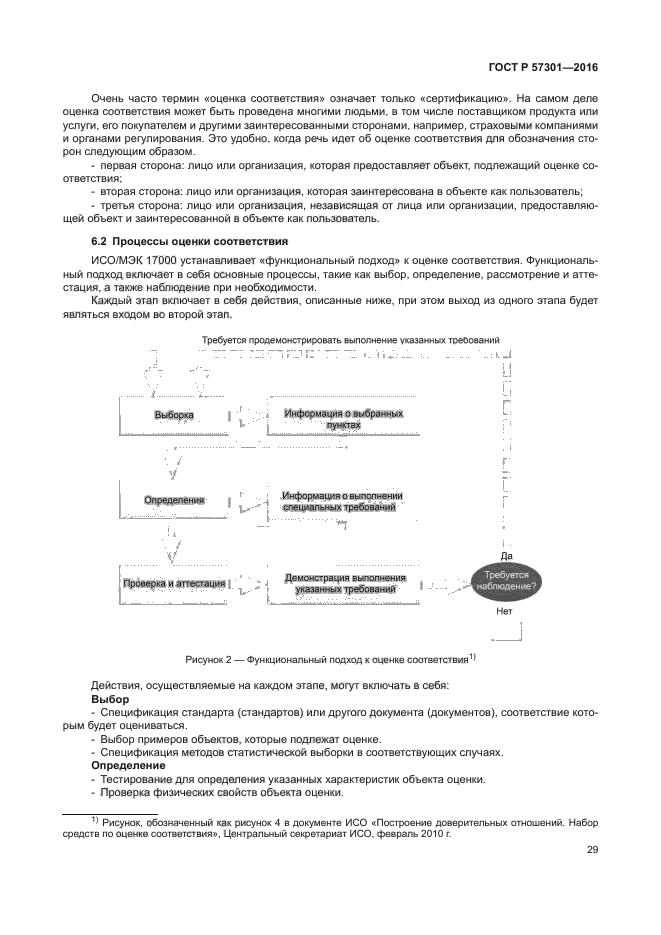
| Область применения: | Настоящий стандарт распространяется на системы электронных карт пациента в пунктах медицинского обслуживания, которые обеспечивают взаимодействие с системами EHR. Аппаратные средства и средства управления технологическим процессом не входят в область применения. Настоящий стандарт рассматривает проблемы их безопасности и защиты конфиденциальности путем предоставления ряда требований безопасности и конфиденциальности, наряду с руководством и передовыми практическими методами для оценки соответствия |
|
| Расположен в: |
|