Информационная система
«Ёшкин Кот»

Скачать базу одним архивом
Скачать обновления
История создания базы
Карта сайта

Скачать ГОСТ Р 57335-2016 Блоки бетонные строительные. Технические условия

Дата актуализации: 01.06.2025

ГОСТ Р 57335-2016

Блоки бетонные строительные. Технические условия

Обозначение: ГОСТ Р 57335-2016
Статус:действующий
Название рус.:Блоки бетонные строительные. Технические условия
Название англ.:Manufactured stone masonry units. Specifications
Дата актуализации текста:01.01.2021
Дата актуализации описания:01.07.2023
Дата издания:25.01.2017
Дата введения:01.07.2017
Дата окончания срока действия:14.01.2020
Аутентичен стандартам:EN 771-5:2011
Нормативные ссылки:EN 772-1:2011;EN 772-11;EN 772-13;EN 772-14;EN 772-16:2011;EN 772-20;EN 1052-2;EN 1052-3;EN 1745;EN 13501-1;EN ISO 12572
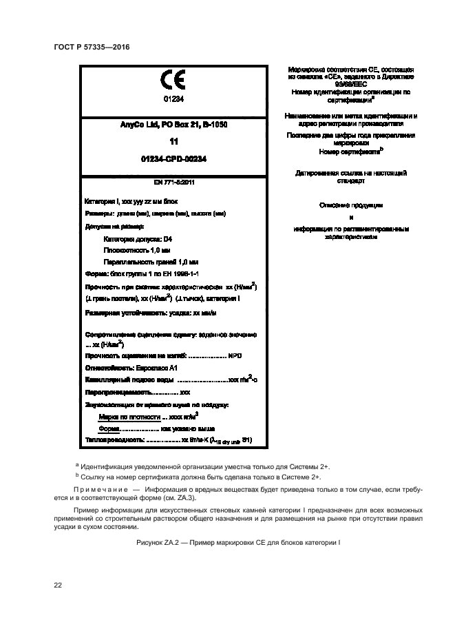
Область применения:Настоящий стандарт устанавливает характеристики, технологические нормы и правила на строительные бетонные блоки. Блоки предназначаются, главным образом, для применения в качестве облицовки или открытой для внешнего воздействия каменной кладке, несущей или не несущей нагрузку в облицовке сооружений и гражданском строительстве. Блоки применяют для всех форм возведения стен правильными рядами или произвольной кладкой, включая одиночную облегченную перегородку, пустотную стену, внутреннюю перегородку, подпорную или наружную кладку в дымоходах. Блоки могут обеспечивать противопожарную защиту, теплоизоляцию, звукоизоляцию. Настоящий стандарт распространяется на блоки, похожие на природный камень, изготовляемые по технологии отливки или прессования. Блоки могут иметь фактуру (текстуру) поверхности, полученную путем отливки, промывки, струйной очистки или обработки инструментом, с рифленой, колотой или гладкой лицевой поверхностью. Настоящий стандарт определяет рабочие характеристики, касающиеся, например, прочности, плотности, размерной точности, внешнего вида поверхности, и предусматривает оценку соответствия определенного блока настоящему стандарту. Также включены требования к маркировке продукции, охваченной настоящим стандартом. Настоящий стандарт не распространяется на блоки, стеновые панели, блоки для дымоходов или блоки, изготовленные с липкой наклеенной декоративной пленкой, или с приклеенным слоем теплоизоляционного материала, восприимчивого к воздействию огня. Также стандарт не распространяется на блоки, предназначенные для применения в качестве водонепроницаемого горизонтального ряда кладки, а также на блоки, отвечающие требованиям EН 71-3:2011. Настоящий стандарт не устанавливает стандартных размеров блоков или рабочих размеров и углов блоков специальной формы
Расположен в:Государственные стандарты Общероссийский классификатор стандартов Строительные материалы и строительство Строительные материалы Бетон и изделия из бетона Классификатор государственных стандартов Строительство и стройматериалы Строительные конструкции и детали Каменные, кирпичные, бетонные и железобетонные конструкции и детали
ГОСТ Р 57335-2016ГОСТ Р 57335-2016ГОСТ Р 57335-2016ГОСТ Р 57335-2016ГОСТ Р 57335-2016ГОСТ Р 57335-2016ГОСТ Р 57335-2016ГОСТ Р 57335-2016ГОСТ Р 57335-2016ГОСТ Р 57335-2016ГОСТ Р 57335-2016ГОСТ Р 57335-2016ГОСТ Р 57335-2016ГОСТ Р 57335-2016ГОСТ Р 57335-2016ГОСТ Р 57335-2016ГОСТ Р 57335-2016ГОСТ Р 57335-2016ГОСТ Р 57335-2016ГОСТ Р 57335-2016ГОСТ Р 57335-2016ГОСТ Р 57335-2016ГОСТ Р 57335-2016ГОСТ Р 57335-2016ГОСТ Р 57335-2016ГОСТ Р 57335-2016ГОСТ Р 57335-2016ГОСТ Р 57335-2016ГОСТ Р 57335-2016ГОСТ Р 57335-2016

© 2013 Ёшкин Кот :-) Карта сайта