| Обозначение: |  ГОСТ Р 57285-2016 |
| Статус: | заменён |
| Название рус.: | Единая энергетическая система и изолированно работающие энергосистемы. Электроэнергетические системы. Оперативно-диспетчерское управление. Порядок подготовки заключений о возможности вывода из эксплуатации генерирующего оборудования электростанций, относящегося к объектам диспетчеризации. Нормы и требования |
| Название англ.: | United power system and isolated power systems. Electric power systems. Operational dispatching control. Procedure for preparation of conclusion on possibility of decommissioning of generating facility of power stations that is considered as object of dispatching. Norms and requirements |
| Дата актуализации текста: | 01.01.2021 |
| Дата актуализации описания: | 01.07.2023 |
| Дата издания: | 13.12.2016 |
| Дата введения: | 01.07.2017 |
| Дата окончания срока действия: | 01.06.2022 |
| Заменяющий: | ГОСТ Р 57285-2022 |
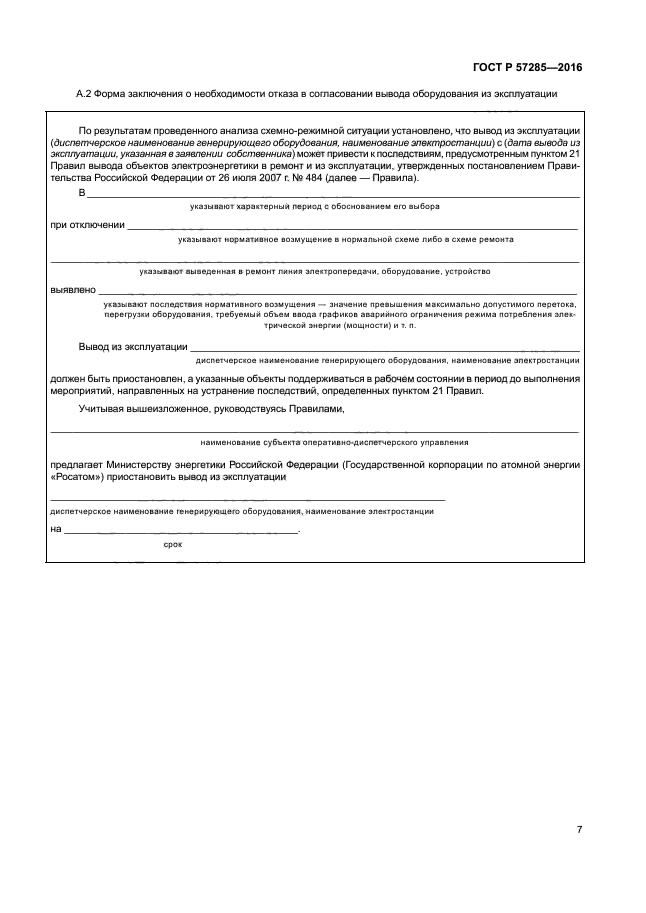
| Область применения: | Настоящий стандарт разработан в целях обеспечения единства подходов и методологии при рассмотрении субъектами оперативно-диспетчерского управления в электроэнергетике возможности вывода из эксплуатации генерирующего оборудования электростанций, относящегося к объектам диспетчеризации, а также формировании заключений о возможности вывода из эксплуатации такого оборудования. Настоящий стандарт определяет основные критерии, принципы и методологические подходы, в соответствии с которыми выполняется оценка возможности вывода из эксплуатации генерирующего оборудования электростанций, относящегося к объектам диспетчеризации, а также требования к содержанию заключений о возможности его вывода. Требованиями настоящего стандарта должны руководствоваться: - системный оператор и субъекты оперативно-диспетчерского управления в электроэнергетике технологически изолированных территориальных электроэнергетических систем при подготовке заключений о возможности вывода из эксплуатации генерирующего оборудования электростанций в соответствии с требованиями Правил вывода объектов электроэнергетики в ремонт и из эксплуатации; - системный оператор при подготовке заключений об угрозе наступления последствий, предусмотренных Правилами вывода объектов электроэнергетики в ремонт и из эксплуатации, в соответствии с положениями Правил оптового рынка электрической энергии и мощности (пункт 114) |
| Список изменений: | №0 от 28.12.2018 (рег. 28.12.2018) «Дата введения перенесена» |
| Приложение №1: | Поправка к ГОСТ Р 57285-2016 |
| Приложение №2: | Поправка к ГОСТ Р 57285-2016 |
|
| Расположен в: |
|