| Обозначение: |  ГОСТ Р ИСО 18129-2016 |
| Статус: | действующий |
| Название рус.: | Контроль состояния и диагностика машин. Подходы к контролю состояния машин по показателям их производительности |
| Название англ.: | Condition monitoring and diagnostics of machines. Approaches to condition monitoring of machines for performance diagnosis |
| Дата актуализации текста: | 01.02.2017 |
| Дата актуализации описания: | 01.07.2023 |
| Дата издания: | 05.04.2019 |
| Дата введения: | 01.12.2017 |
| Аутентичен стандартам: | ISO 18129:2015 |
| Нормативные ссылки: | ISO 13372;ISO 13379-1;ISO 17359 |
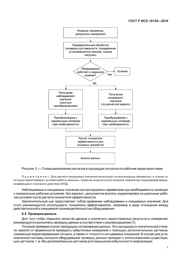
| Область применения: | Настоящий стандарт устанавливает общие принципы применения контроля рабочих характеристик машин, машинных агрегатов и комплексов в течение всего срока их эксплуатации. В качестве рабочих характеристик рассматриваются те, которые определяют показатели производительности (эффективности работы) оборудования. Настоящий стандарт устанавливает методы испытаний систем контроля рабочих характеристик оборудования с целью оценки точности системы и применяемых в ней процедур (включая предоставление данных для сопоставительного анализа рабочих характеристик оборудования) |
|
| Расположен в: |
|