| Обозначение: |  ГОСТ Р 57281-2016 |
| Статус: | действующий |
| Название рус.: | Техническая диагностика. Система эксплуатационного мониторинга ресурса оборудования и трубопроводов реакторных установок. Общие требования |
| Название англ.: | Technical diagnostics. Monitoring system of resource of reactor installations equipment and piping. General requirements |
| Дата актуализации текста: | 01.02.2017 |
| Дата актуализации описания: | 01.07.2023 |
| Дата издания: | 29.12.2016 |
| Дата введения: | 01.10.2017 |
| Нормативные ссылки: | ГОСТ 27.002; ГОСТ 20911; ГОСТ Р 53564 |
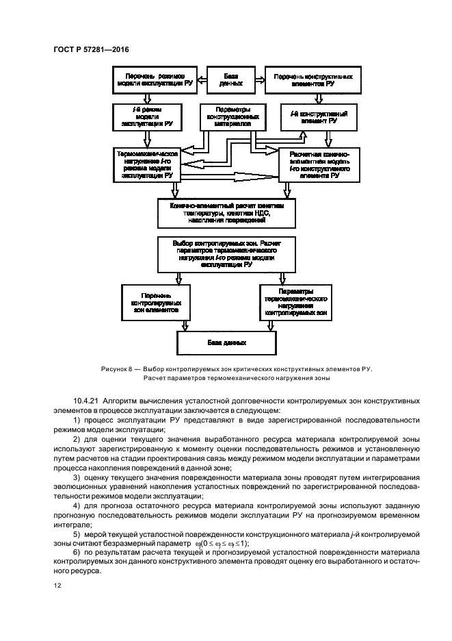
| Область применения: | Настоящий документ устанавливает общие требования к системе эксплуатационного мониторинга ресурса оборудования и трубопроводов реакторных установок любого типа |
|
| Расположен в: |
|