| Обозначение: |  ГОСТ Р 57149-2016 |
| Статус: | действующий |
| Название рус.: | Аспекты безопасности. Руководящие указания по включению их в стандарты |
| Название англ.: | Safety aspects. Guidelines for their inclusion in standards |
| Дата актуализации текста: | 01.01.2021 |
| Дата актуализации описания: | 01.01.2021 |
| Дата издания: | 17.06.2020 |
| Дата введения: | 01.07.2017 |
| Аутентичен стандартам: | ISO/IEC Guide 51:2014 |
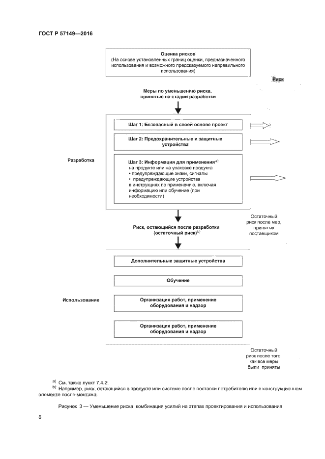
| Область применения: | Настоящий стандарт содержит требования и рекомендации для разработчиков стандартов по включению аспектов безопасности в стандарты. Он может применяться к любым аспектам безопасности, относящимся к людям, имуществу или окружающей среде, к одной из этих сторон или их комбинации |
|
| Расположен в: |
|