| Обозначение: |  ГОСТ Р 57105-2016 |
| Статус: | действующий |
| Название рус.: | Интегрированная логистическая поддержка. Анализ логистической поддержки. Требования к структуре и составу базы данных |
| Название англ.: | Integrated Logistic Support. Logistic Support Analysis. Requirements for Database Structure and Content |
| Дата актуализации текста: | 01.01.2021 |
| Дата актуализации описания: | 01.07.2023 |
| Дата издания: | 04.12.2018 |
| Дата введения: | 01.07.2017 |
| Нормативные ссылки: | ГОСТ Р 53392; ГОСТ Р 53393; ГОСТ Р 53394; ГОСТ Р 54090; ГОСТ Р 56114; ГОСТ Р 56136; ГОСТ Р ИСО 10303-21; ГОСТ Р 34.11; ГОСТ 2.053; ГОСТ 2.511; ГОСТ 2.601; ГОСТ 8.417 |
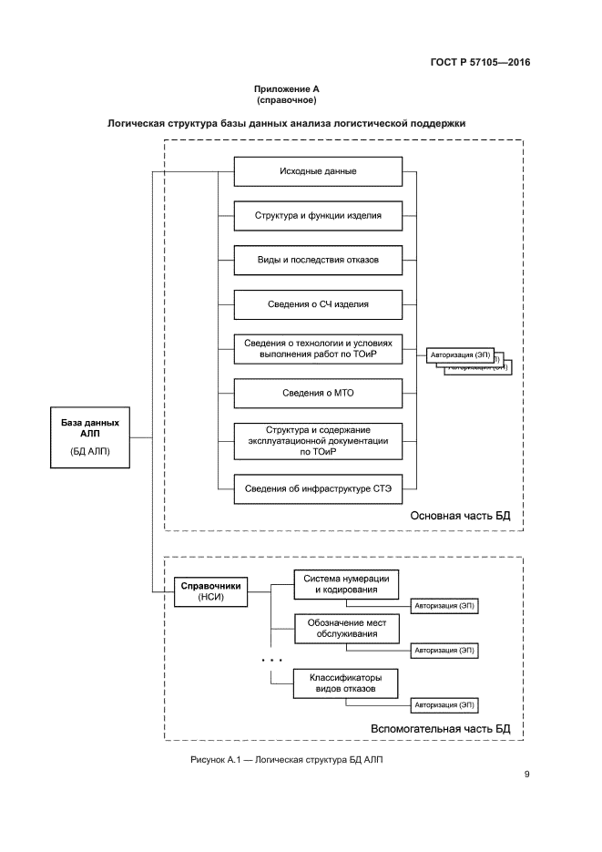
| Область применения: | Настоящий стандарт устанавливает требования к структуре и составу базы данных анализа логистической поддержки процессов технической эксплуатации изделий и других объектов техники (далее - изделий), а также общие требования к ее выполнению в информационных системах интегрированной логистической поддержки промышленной продукции. Настоящий стандарт предназначен для применения при разработке интегрированных систем информационной поддержки процессов жизненного цикла продукции и обеспечении информационного взаимодействия между участниками этих процессов. На основе настоящего стандарта допускается, при необходимости, разрабатывать стандарты, устанавливающие дополнительные требования к составу баз данных анализа логистической поддержки процессов технической эксплуатации конкретных видов изделий с учетом их специфики |
| Список изменений: | №0 от 29.08.2017 (рег. 29.08.2017) «Дата введения перенесена» |
| Приложение №1: | Поправка к ГОСТ Р 57105-2016 |
|
| Расположен в: |
|