| Обозначение: |  ГОСТ Р 57102-2016 |
| Статус: | действующий |
| Название рус.: | Информационные технологии. Системная и программная инженерия. Управление жизненным циклом. Часть 2. Руководство по применению ИСО/МЭК 15288 |
| Название англ.: | Information technology. Systems and software engineering. Life cycle management. Part 2. Guide to the application of ISO/IEC 15288 |
| Дата актуализации текста: | 01.01.2021 |
| Дата актуализации описания: | 01.01.2021 |
| Дата издания: | 06.10.2016 |
| Дата введения: | 01.09.2017 |
| Аутентичен стандартам: | ISO/IEC TR 24748-2:2011 |
| Область применения: | Настоящий стандарт является руководством для применения ИСО/МЭК 15288. Он применим к системе, жизненному циклу, процессу, организационным аспектам, проекту и понятиям адаптации, преимущественно путем ссылки на ИСО/МЭК 24748-1 и ИСО/МЭК 15288. Это служит руководством при применении ИСО/МЭК 15288 в зависимости от аспектов стратегии, планирования и применения в организациях и проектах |
|
| Расположен в: |
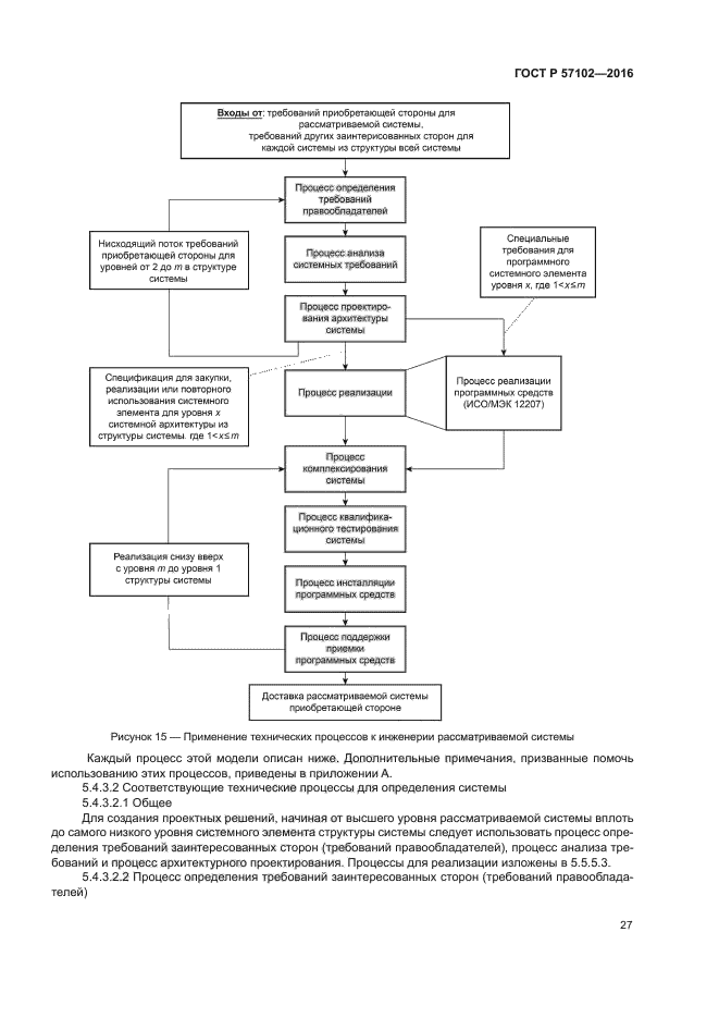
|