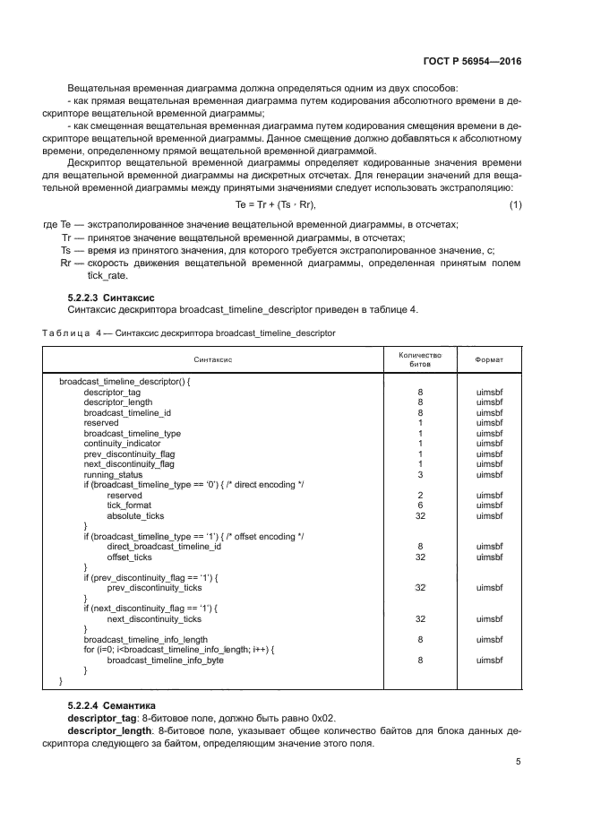
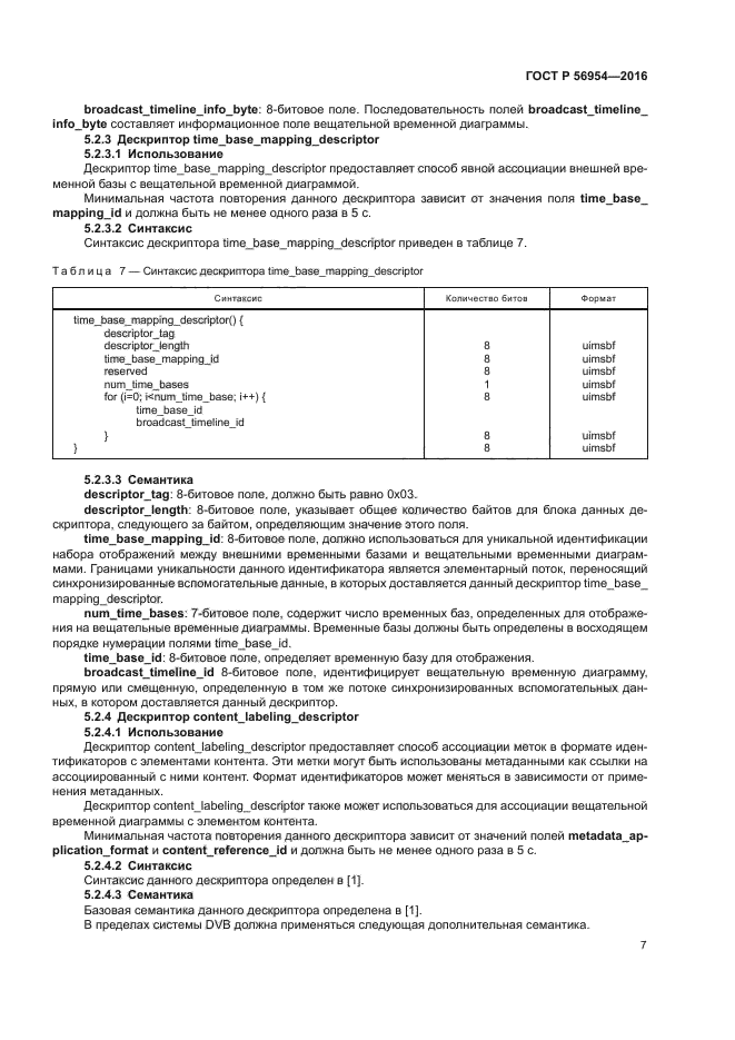
| Обозначение: |  ГОСТ Р 56954-2016 |
| Статус: | действующий |
| Название рус.: | Телевидение вещательное цифровое. Спецификация транспортировки синхронизированных вспомогательных данных в транспортных потоках DVB |
| Название англ.: | Digital Video Broadcasting. Specification for the carriage of synchronized auxiliary data in DVB transport streams |
| Дата актуализации текста: | 01.01.2021 |
| Дата актуализации описания: | 01.07.2023 |
| Дата издания: | 13.05.2020 |
| Дата введения: | 01.06.2017 |
| Код ОКП: | 657400 |
| Нормативные ссылки: | ГОСТ Р 52210; ГОСТ Р 52591; ГОСТ Р 54994 |
| Область применения: | Настоящий стандарт определяет спецификацию транспортировки синхронизированных вспомогательных данных в транспортных потоках DVB для их синхронизации со стороны приемника с видео- и аудиопотоками. Данный стандарт применим к различным потокам вспомогательных данных, таким как телетекст, субтитры и прочее, передаваемых в составе транспортного потока MPEG |
|
| Расположен в: |
|