| Обозначение: |  ГОСТ Р 56974-2016 |
| Статус: | действующий |
| Название рус.: | Обувь. Требования к характеристикам деталей обуви. Основные стельки |
| Название англ.: | Footwear. Performance requirements for components for footwear. Insoles |
| Дата актуализации текста: | 01.01.2021 |
| Дата актуализации описания: | 01.07.2023 |
| Дата издания: | 05.08.2016 |
| Дата введения: | 01.07.2017 |
| Содержит требования: | ISO/TR 20881:2007 |
| Нормативные ссылки: | ISO 20866;ISO 20867;ISO 20868;ISO 20876;ISO 22651;ГОСТ ISO 17709; ГОСТ 23251; ГОСТ Р 8.736; ГОСТ Р ИСО 20869; ГОСТ Р ИСО 22649 |
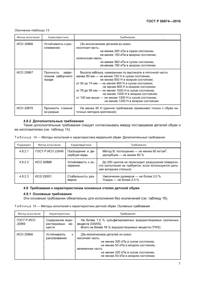
| Область применения: | Настоящий стандарт устанавливает требования к характеристикам деталей обуви - основных стелек (не в готовой обуви), независимо от материала, с целью оценки их пригодности для конечного использования. Настоящий стандарт также устанавливает методы, используемые для оценки соответствия предъявленным требованиям. Настоящий стандарт применим к основным стелькам обуви всех видов, приведенных в разделе 3. Настоящий стандарт предназначен для использования изготовителем и поставщиком обуви в качестве нормативного документа. Настоящий стандарт не предназначен для использования в качестве ссылочного нормативного документа для сертификации третьей стороной готовой обуви, поступающей к потребителю |
|
| Расположен в: |
|