| Обозначение: |  ГОСТ Р 56951-2016 |
| Статус: | действующий |
| Название рус.: | Телевидение вещательное цифровое. Сигнализация и доставка интерактивных приложений и услуг в гибридных широковещательных/широкополосных средах. Основные параметры |
| Название англ.: | Digital Video Broadcasting. Signalling and carriage of interactive applications and services in Hybrid broadcast/broadband environments. General parameters |
| Дата актуализации текста: | 01.01.2021 |
| Дата актуализации описания: | 01.07.2023 |
| Дата издания: | 16.06.2020 |
| Дата введения: | 01.06.2017 |
| Код ОКП: | 657400 |
| Нормативные ссылки: | ГОСТ Р 52210; ГОСТ Р 52591; ГОСТ Р 54994 |
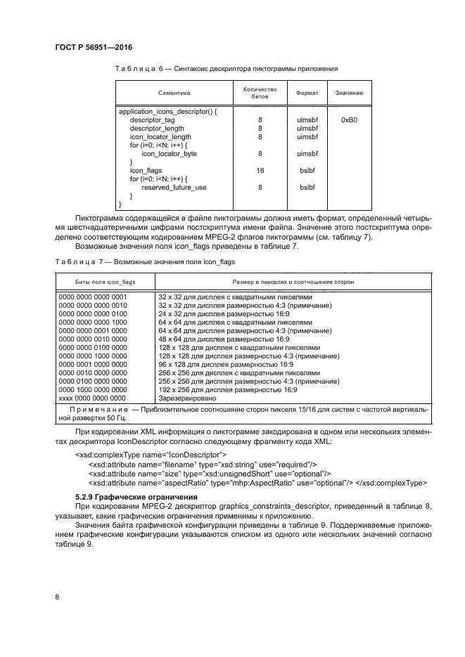
| Область применения: | Настоящий стандарт определяет структуру сигнализации и доставки интерактивных приложений или услуг в вещательных и широкополосных сетях. Эта структура содержит следующие разделы: - сигнализация интерактивных приложений или услуг в классических вещательных сетях и широкополосных сетях; - передача файлов интерактивных приложений или услуг через классические вещательные сети и широкополосные сети; - синхронизация интерактивных приложений или услуг с видео и аудио контентом, распространяемым через классические вещательные сети и широкополосные сети; - ссылки из интерактивных приложений или услуг на видео, аудио контент или контент с субтитрами, распространяемый через классические вещательные сети и широкополосные сети |
|
| Расположен в: |
|