Информационная система
«Ёшкин Кот»

Скачать базу одним архивом
Скачать обновления
История создания базы
Карта сайта

Скачать ГОСТ Р 57195-2016 Ядро и язык для методов системной и программной инженерии. Общие положения

Дата актуализации: 01.06.2025

ГОСТ Р 57195-2016

Ядро и язык для методов системной и программной инженерии. Общие положения

Обозначение: ГОСТ Р 57195-2016
Статус:действующий
Название рус.:Ядро и язык для методов системной и программной инженерии. Общие положения
Дата актуализации текста:01.01.2021
Дата актуализации описания:01.01.2021
Дата издания:13.05.2020
Дата введения:01.05.2017
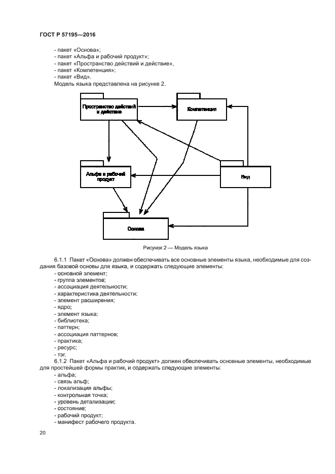
Область применения:Настоящий стандарт устанавливает детальные определения и описания ядра и языка методов системной и программной инженерии. Настоящий стандарт предусматривает следующие требования к ядру и языку: - определяет ядро и его формирование в трех областях интересов, касающихся заказчика, решения и деятельности; - определяет альфы ядра (т. е. основные элементы, с которыми потребуется работать) и пространства действий (т. е. основные элементы, которые необходимо выполнить); - определяет модель языка и элементы языка
Расположен в:Государственные стандарты Общероссийский классификатор стандартов Услуги. Организация фирм, управление и качество. Администрация. Транспорт. Социология. Организация фирм и управление ими Организация фирм и управление ими в целом Классификатор государственных стандартов Измерительные приборы. Средства автоматизации и вычислительной техники Средства вычислительной техники и автоматизированные системы управления Классификация, номенклатура и общие нормы
ГОСТ Р 57195-2016ГОСТ Р 57195-2016ГОСТ Р 57195-2016ГОСТ Р 57195-2016ГОСТ Р 57195-2016ГОСТ Р 57195-2016ГОСТ Р 57195-2016ГОСТ Р 57195-2016ГОСТ Р 57195-2016ГОСТ Р 57195-2016ГОСТ Р 57195-2016ГОСТ Р 57195-2016ГОСТ Р 57195-2016ГОСТ Р 57195-2016ГОСТ Р 57195-2016ГОСТ Р 57195-2016ГОСТ Р 57195-2016ГОСТ Р 57195-2016ГОСТ Р 57195-2016ГОСТ Р 57195-2016ГОСТ Р 57195-2016ГОСТ Р 57195-2016ГОСТ Р 57195-2016ГОСТ Р 57195-2016ГОСТ Р 57195-2016ГОСТ Р 57195-2016

© 2013 Ёшкин Кот :-) Карта сайта