| Обозначение: |  ГОСТ Р ИСО 11064-6-2016 |
| Статус: | действующий |
| Название рус.: | Эргономическое проектирование центров управления. Часть 6. Требования к окружающей среде |
| Дата актуализации текста: | 01.02.2017 |
| Дата актуализации описания: | 01.07.2023 |
| Дата издания: | 27.08.2019 |
| Дата введения: | 01.12.2017 |
| Взамен: | ГОСТ Р ИСО 11064-6-2013 |
| Аутентичен стандартам: | ISO 11064-6:2005 |
| Нормативные ссылки: | ISO 7731;ISO 7779;ISO 8995-1;ISO 9241-6;ISO 13731 |
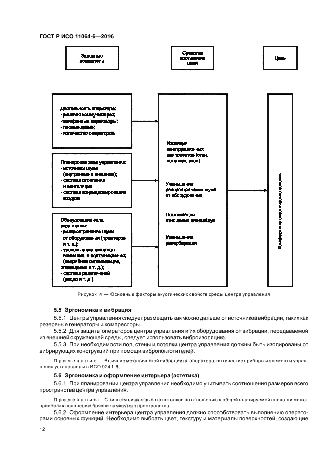
| Область применения: | В настоящем стандарте установлены требования к окружающей среде центра управления, а также рекомендации по эргономическому проектированию, модернизации или реконструкции центров управления и других функциональных зон центра управления) Применение требований настоящего стандарта очень важно при выполнении инжиниринговых разработок, связанных с созданием или модернизацией центров управления. Применение эргономических принципов на ранних этапах разработки проекта позволяет сократить время проектирования и внедрения проекта.). Требования стандарта распространяются на такие факторы окружающей среды, как: - температура (для зон умеренного климата); - качество воздуха; - освещенность; - акустические показатели среды; - вибрация; - эстетика и оформление интерьера |
|
| Расположен в: |
|