| Обозначение: |  ГОСТ Р 51725.3-2016 |
| Статус: | действующий |
| Название рус.: | Каталогизация продукции для федеральных государственных нужд. Правила идентификации и классификации продукции. Общие положения |
| Дата актуализации текста: | 01.01.2021 |
| Дата актуализации описания: | 01.07.2023 |
| Дата издания: | 03.07.2017 |
| Дата введения: | 01.01.2017 |
| Взамен: | ГОСТ Р 51725.3-2009 |
| Нормативные ссылки: | ГОСТ Р 51725.2-2016; ГОСТ Р 51725.9-2014; ГОСТ Р 51725.18-2014; ГОСТ Р 51725.20.1-2014;ЕК 001-2014 |
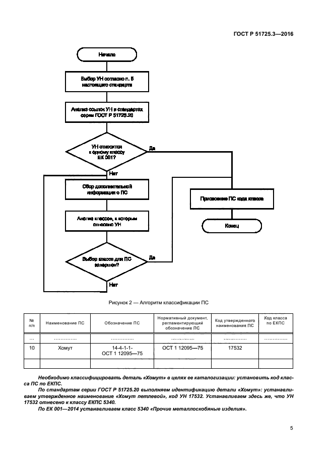
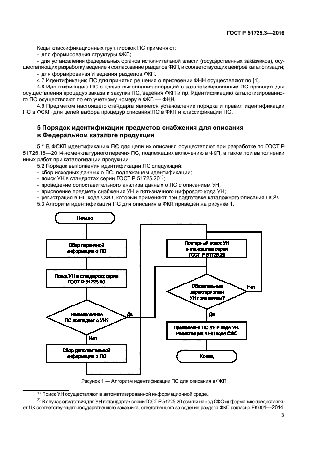
| Область применения: | Настоящий стандарт распространяется на продукцию, подлежащую включению в Федеральный каталог продукции. Стандарт устанавливает порядок и правила идентификации и классификации продукции. Стандарт предназначен для применения организациями - участниками Федеральной системы каталогизации продукции для федеральных государственных нужд, осуществляющими подготовку исходных данных о продукции, подлежащей каталогизации, и организациями, проводящими идентификацию и классификацию продукции для включения в Федеральный каталог продукции |
| Список изменений: | №0 от 16.05.2017 (рег. 16.05.2017) «Дата введения перенесена» |
| Приложение №1: | Поправка к ГОСТ Р 51725.3-2016 |
|
| Расположен в: |
|