| Обозначение: |  ГОСТ Р 56973-2016 |
| Статус: | действующий |
| Название рус.: | Графитированные электроды для электродуговых печей. Эксплуатация |
| Дата актуализации текста: | 01.01.2021 |
| Дата актуализации описания: | 01.07.2023 |
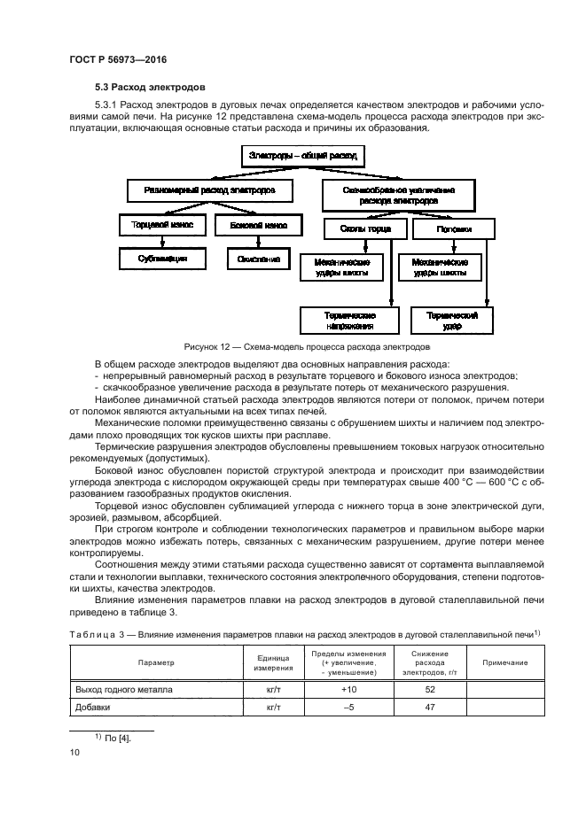
| Дата издания: | 09.06.2020 |
| Дата введения: | 01.07.2017 |
| Код ОКП: | 191000 |
| Нормативные ссылки: | ГОСТ Р МЭК 60239; ГОСТ 23775; ГОСТ 23776; ГОСТ Р 54253 |
| Область применения: | Настоящий стандарт распространяется на графитированные электроды (далее-электроды) для электродуговых печей, используемые при производстве стали и сплавов и устанавливает основные правила при их разгрузке, транспортировании, хранении и эксплуатации |
|
| Расположен в: |
|