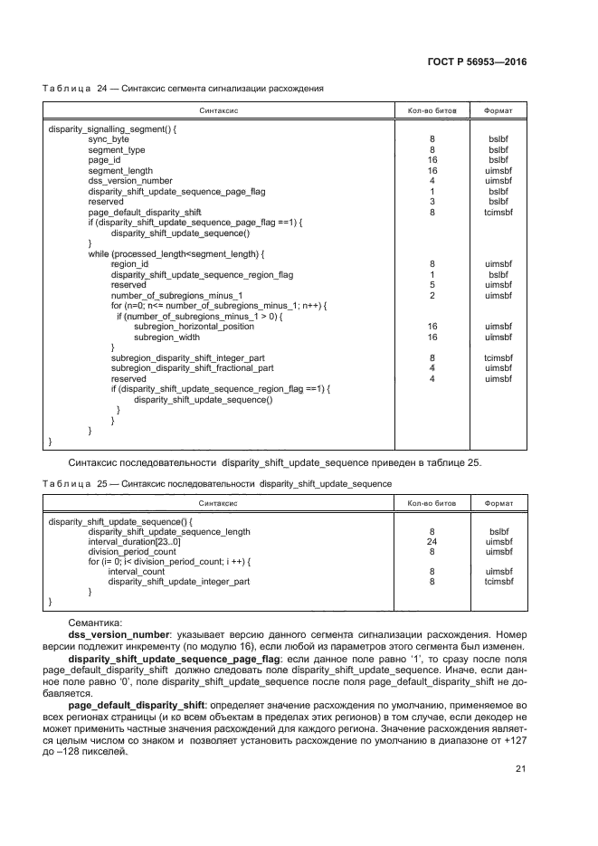
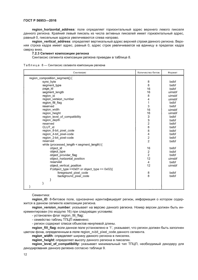
| Обозначение: |  ГОСТ Р 56953-2016 |
| Статус: | действующий |
| Название рус.: | Телевидение вещательное цифровое. Системы субтитров. Основные параметры |
| Название англ.: | Digital Video Broadcasting. Subtitling systems. General parameters |
| Дата актуализации текста: | 01.01.2021 |
| Дата актуализации описания: | 01.07.2023 |
| Дата издания: | 21.09.2020 |
| Дата введения: | 01.06.2017 |
| Код ОКП: | 657400 |
| Нормативные ссылки: | ГОСТ Р 52210; ГОСТ Р 52591; ГОСТ Р 54994 |
| Область применения: | Настоящий стандарт определяет систему кодирования субтитров, логотипов и иных графических элементов для их передачи в транспортных потоках DVB. Данная система использует таблицы преобразования цветовой палитры (ТПЦП) для определения цветов графических элементов. Транспортировка кодированных графических элементов основана на системе MPEG-2 |
|
| Расположен в: |
|