| Обозначение: |  ГОСТ Р ИСО/ТС 10303-1242-2015 |
| Статус: | действующий |
| Название рус.: | Системы автоматизации производства и их интеграция. Представление данных об изделии и обмен этими данными. Часть 1242. Прикладной модуль. Должность в организации |
| Название англ.: | Industrial automation systems and integration. Product data representation and exchange. Part 1242. Application module. Position in organization |
| Дата актуализации текста: | 07.08.2016 |
| Дата актуализации описания: | 01.07.2023 |
| Дата издания: | 27.04.2020 |
| Дата введения: | 01.11.2016 |
| Аутентичен стандартам: | ISO/TS 10303-1242:2004 |
| Нормативные ссылки: | ISO/IEC 8824-1:2002;ISO 10303-1:1994;ISO 10303-11:2004;ISO 10303-21:2002;ISO 10303-41:2005;ISO 10303-202:1996;ISO/TS 10303-1001:2004;ISO/TS 10303-1011:2004;ISO/TS 10303-1017:2004;ISO/TS 10303-1061:2004;ISO/TS 10303-1114:2004;ISO/TS 10303-1245:2004;ISO/IEC 8824-1:2008;ISO/TS 10303-1001:2010;ISO/TS 10303-1017:2010;ISO/TS 10303-1061:2006 |
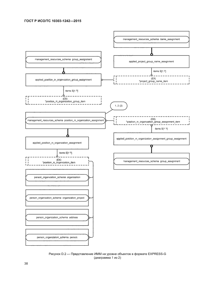
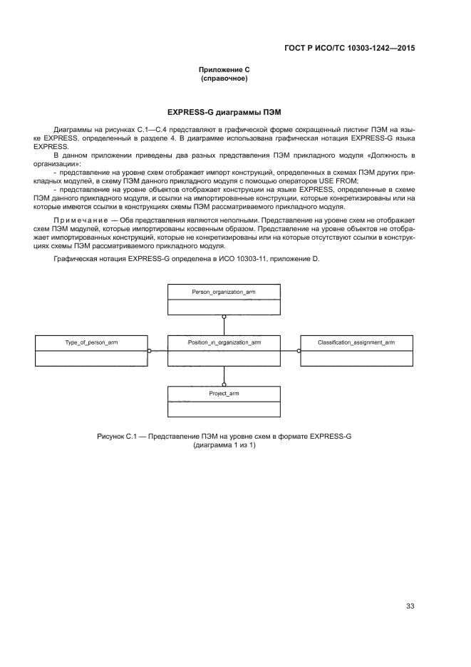
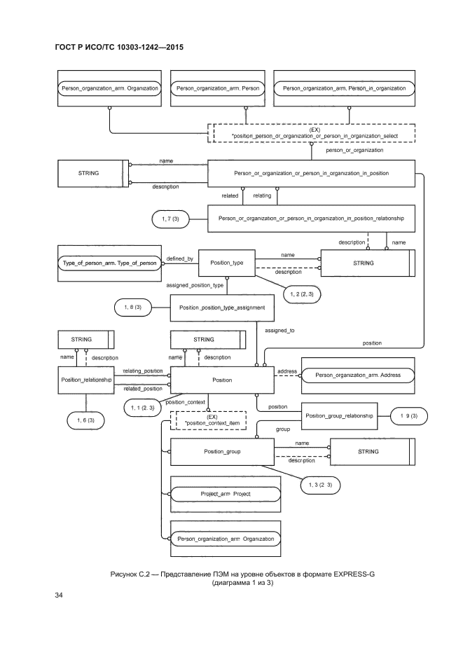
| Область применения: | Настоящий стандарт определяет прикладной модуль «Должность в организации». Требования настоящего стандарта распространяются на: - определение должности в организации; - определение типа должности; - взаимосвязь между должностями и организациями; - взаимосвязь между должностями; - взаимосвязь иежду между должностью и сотрудником, организацией или сотрудником в организации |
|
| Расположен в: |
|