| Обозначение: |  ГОСТ Р 56893-2016 |
| Статус: | действующий |
| Название рус.: | Стерилизация медицинской продукции. Влажное тепло. Часть 2. Руководство по применению стандарта ИСО 17665-1 |
| Название англ.: | Sterilization of health care products. Moist heat. Part 2. Guidance on the application of ISO 17665-1 |
| Дата актуализации текста: | 07.08.2016 |
| Дата актуализации описания: | 01.07.2023 |
| Дата издания: | 18.04.2016 |
| Дата введения: | 01.03.2017 |
| Код ОКП: | 945120 |
| Аутентичен стандартам: | ISO/TS 17665-2:2009 |
| Нормативные ссылки: | ISO 17665-1:2006;ISO 11607-1;ISO 11607-2;ISO 11737 |
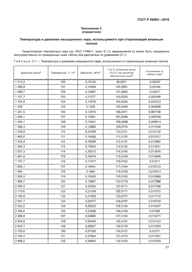
| Область применения: | Данная техническая спецификация обеспечивает общее руководство при разработке, валидации и текущем контроле процессов стерилизации влажным теплом и предназначена для разъяснения требований, изложенных в стандарте ИСО 17665-1. Указания, приведенные в настоящей технической спецификации, предназначены для продвижения правильных практик, имеющих отношение к процессам стерилизации влажным теплом и для оказания помощи тем, кто разрабатывает и валидирует процессы стерилизации влажным теплом в соответствии с требованиями стандарта ИСО 17665-1 |
|
| Расположен в: |
|