| Обозначение: |  ГОСТ Р ИСО 21214-2015 |
| Статус: | действующий |
| Название рус.: | Интеллектуальные транспортные системы. Радиоинтерфейс непрерывного действия, длинный и средний диапазоны (CALM). Инфракрасные системы |
| Название англ.: | Intelligent transport systems. Continuous air interface, long and medium range (CALM). Infra-red systems |
| Дата актуализации текста: | 07.08.2016 |
| Дата актуализации описания: | 01.06.2019 |
| Дата издания: | 25.02.2016 |
| Дата введения: | 01.08.2016 |
| Дата последнего изменения: | 12.09.2018 |
| Область применения: | Настоящий стандарт определяет интерфейс беспроводной связи, использующий инфракрасные системы диапазона 820-1010 нм.
Настоящий стандарт обеспечивает протоколами и характеристиками беспроводное средне- и высокоскоростное взаимодействие на средних расстояниях в рамках задач ИТС с использование инфракрасных систем |
|
| Расположен в: |
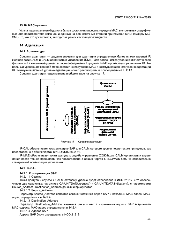
|