| Обозначение: |  ГОСТ Р ИСО 21218-2015 |
| Статус: | действующий |
| Название рус.: | Интеллектуальные транспортные системы. Доступ к наземным мобильным средствам связи (CALM). Поддержка технологии доступа |
| Название англ.: | Intelligent transport systems. Communications access for land mobiles (CALM). Access technology support |
| Дата актуализации текста: | 07.08.2016 |
| Дата актуализации описания: | 01.07.2023 |
| Дата издания: | 25.02.2016 |
| Дата введения: | 01.08.2016 |
| Аутентичен стандартам: | ISO 21218:2013 |
| Нормативные ссылки: | ISO/IEC 8802-2;ISO/IEC 8825-2;ISO 21217;ISO 24102-1;ISO 24102-3;ISO 24102-4;ETSI TS 102 760-1;ETSI TS 102 760-2 |
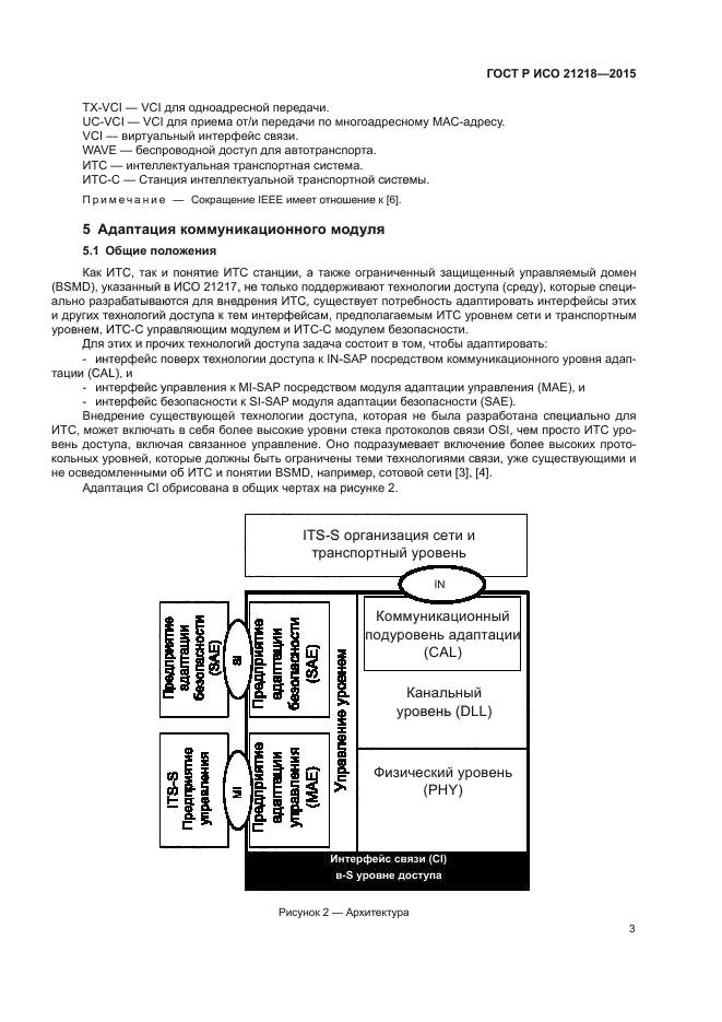
| Область применения: | Настоящий стандарт определяет общие технические подробные сведения, связанные с уровнем доступа ИТС станции справочной архитектуры, указанной в ИСО 21217, которые применимы ко всем или нескольким технологиям уровня доступа. Это включает особенно точку доступа к службе (SAP) интерфейса связи (CI) в соответствии с коммуникационным уровнем адаптации (CAL) для коммуникации. SAP, предоставленный компонентом CI системы адаптации управления (MAE) для управления интерфейсом связи, указан ссылкой на ИСО 24102-3 |
|
| Расположен в: |
|