Информационная система
«Ёшкин Кот»

Скачать базу одним архивом
Скачать обновления
История создания базы
Карта сайта

Скачать ГОСТ Р ИСО 11064-3-2015 Эргономическое проектирование центров управления. Часть 3. Расположение зала управления

Дата актуализации: 01.06.2025

ГОСТ Р ИСО 11064-3-2015

Эргономическое проектирование центров управления. Часть 3. Расположение зала управления

Обозначение: ГОСТ Р ИСО 11064-3-2015
Статус:действующий
Название рус.:Эргономическое проектирование центров управления. Часть 3. Расположение зала управления
Название англ.:Ergonomic design of control centres. Part 3. Control room layout
Дата актуализации текста:07.08.2016
Дата актуализации описания:01.07.2023
Дата издания:17.09.2019
Дата введения:01.12.2016
Аутентичен стандартам:ISO 11064-3:1999
Нормативные ссылки:ISO 7250-1:2008;ISO 9241-3:1992;ISO 9241-302:2008;ISO 9241-303:2008;ISO 9241-304:2008;ISO 9241-305:2008;ISO 9241-307:2008;ISO 9241-5:1998;ISO 11428:1996
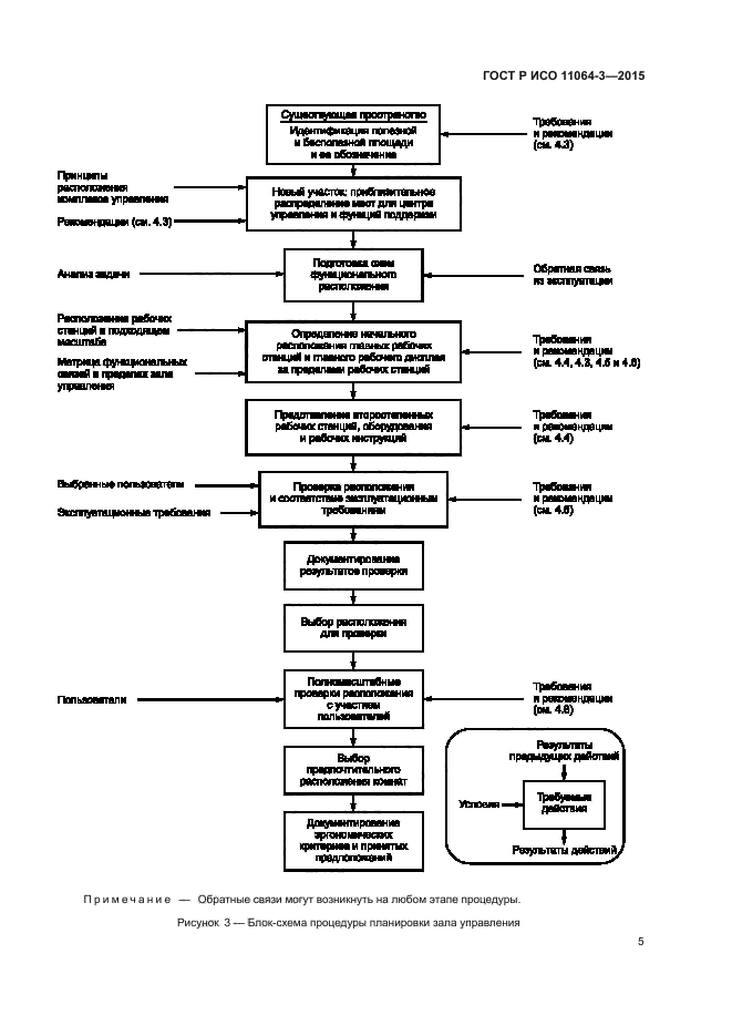
Область применения:В настоящем стандарте установлены эргономические принципы проектирования расположения и компоновки зала управления. Стандарт включает в себя требования, рекомендации и руководящие указания по расположению зала управления, компоновке рабочих станций, использованию находящихся за пределами рабочих станций видеодисплеев и обслуживанию зала управления. Стандарт распространяется на все типы центров управления, в том числе используемые в обрабатывающей промышленности, в области транспортных систем и диспетчерских систем аварийных служб. Настоящий стандарт, прежде всего, предназначен для стационарных центров управления. Многие из принципов, установленных в нем, могут быть применены к мобильным центрам управления, например, установленным на морских и речных судах и воздушном транспорте
Расположен в:Государственные стандарты Общероссийский классификатор стандартов Охрана окружающей среды, защита человека от воздействия окружающей среды. Безопасность Эргономика Классификатор государственных стандартов Электронная техника, радиоэлектроника и связь Машины электронные вычислительные, устройства и приборы к ним Устройства для электронных вычислительных машин
ГОСТ Р ИСО 11064-3-2015ГОСТ Р ИСО 11064-3-2015ГОСТ Р ИСО 11064-3-2015ГОСТ Р ИСО 11064-3-2015ГОСТ Р ИСО 11064-3-2015ГОСТ Р ИСО 11064-3-2015ГОСТ Р ИСО 11064-3-2015ГОСТ Р ИСО 11064-3-2015ГОСТ Р ИСО 11064-3-2015ГОСТ Р ИСО 11064-3-2015ГОСТ Р ИСО 11064-3-2015ГОСТ Р ИСО 11064-3-2015ГОСТ Р ИСО 11064-3-2015ГОСТ Р ИСО 11064-3-2015ГОСТ Р ИСО 11064-3-2015ГОСТ Р ИСО 11064-3-2015ГОСТ Р ИСО 11064-3-2015ГОСТ Р ИСО 11064-3-2015ГОСТ Р ИСО 11064-3-2015ГОСТ Р ИСО 11064-3-2015ГОСТ Р ИСО 11064-3-2015ГОСТ Р ИСО 11064-3-2015ГОСТ Р ИСО 11064-3-2015ГОСТ Р ИСО 11064-3-2015ГОСТ Р ИСО 11064-3-2015ГОСТ Р ИСО 11064-3-2015ГОСТ Р ИСО 11064-3-2015ГОСТ Р ИСО 11064-3-2015ГОСТ Р ИСО 11064-3-2015ГОСТ Р ИСО 11064-3-2015ГОСТ Р ИСО 11064-3-2015ГОСТ Р ИСО 11064-3-2015ГОСТ Р ИСО 11064-3-2015ГОСТ Р ИСО 11064-3-2015ГОСТ Р ИСО 11064-3-2015ГОСТ Р ИСО 11064-3-2015

© 2013 Ёшкин Кот :-) Карта сайта