| Обозначение: |  ГОСТ Р ИСО 11064-2-2015 |
| Статус: | действующий |
| Название рус.: | Эргономическое проектирование центров управления. Часть 2. Принципы организации комплексов управления |
| Название англ.: | Ergonomic design of control centres. Part 2. Principles for the arrangement of control suites |
| Дата актуализации текста: | 07.08.2016 |
| Дата актуализации описания: | 01.07.2023 |
| Дата издания: | 27.08.2019 |
| Дата введения: | 01.12.2016 |
| Аутентичен стандартам: | ISO 11064-2:2000 |
| Нормативные ссылки: | ISO 6385:2004;ISO 11064-3:2000;ISO 11064-3:1999;EN 614-1 |
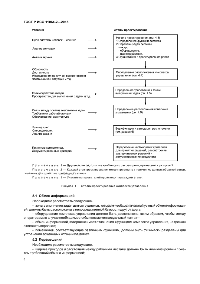
| Область применения: | В настоящем стандарте установлены принципы эргономического проектирования центров управления и, в частности, компоновки помещений и пространства комплекса управления. Принципы основаны на анализе функций и задач, для решения которых используют зал управления и функционально связанные с ним помещения. Настоящий стандарт включает в себя идентификацию функциональных зон, вычисление необходимого пространства для каждой функциональной зоны, определение функциональных связей между ними и разработку предварительной компоновки комплекса управления с целью содействия выполнению всех видов деятельности комплекса управления |
|
| Расположен в: |
|