Информационная система
«Ёшкин Кот»

Скачать базу одним архивом
Скачать обновления
История создания базы
Карта сайта

Скачать ГОСТ Р 56980-2016 Модули фотоэлектрические из кристаллического кремния наземные. Методы испытаний

Дата актуализации: 01.06.2025

ГОСТ Р 56980-2016

Модули фотоэлектрические из кристаллического кремния наземные. Методы испытаний

Обозначение: ГОСТ Р 56980-2016
Статус:заменён
Название рус.:Модули фотоэлектрические из кристаллического кремния наземные. Методы испытаний
Дата актуализации текста:01.01.2021
Дата актуализации описания:01.07.2023
Дата издания:18.07.2016
Дата введения:01.03.2017
Дата окончания срока действия:01.01.2021
Заменяющий:ГОСТ Р 56980.1-2020
Содержит требования:IEC 61215(2005)
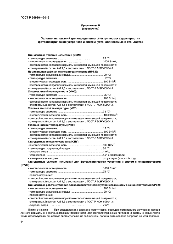
Нормативные ссылки:ГОСТ ИСО/МЭК 17025;ГОСТ Р МЭК 60891;ГОСТ Р МЭК 60904-1;ГОСТ Р МЭК 60904-2;ГОСТ Р МЭК 60904-3;ГОСТ Р МЭК 60904-5;ГОСТ Р МЭК 60904-7;ГОСТ Р МЭК 60904-10;ГОСТ Р МЭК 61646;ГОСТ Р МЭК 61701;ГОСТ Р МЭК 61730-1;ГОСТ Р МЭК 61730-2;ГОСТ Р МЭК 61853-1;ГОСТ Р 56979
Область применения:Настоящий стандарт распространяется на фотоэлектрические модули из кристаллического кремния и устанавливает методы испытаний наземных фотоэлектрических модулей, предназначенных для длительной работы на открытом воздухе в обычных климатических зонах в соответствии с МЭК 60721-2-1 [1]. Настоящий стандарт не распространяется на модули, используемые с концентраторами солнечного излучения, для тонкопленочных модулей применяется ГОСТ Р МЭК 61646. Методы и порядок проведения испытаний, устанавливаемые в настоящем стандарте, предназначены для проверки соответствия фотоэлектрического модуля установленным стандартным требованиям к конструкции и функционированию наземных фотоэлектрических модулей из кристаллического кремния. Соответствие фотоэлектрического модуля требованиям безопасности, установленным в ГОСТ Р МЭК 61730-1, проверяются по ГОСТ Р МЭК 61730-2. Настоящий стандарт устанавливает минимально необходимый набор испытаний для определения электрических и тепловых параметров фотоэлектрического модуля и оценки, насколько это возможно при разумных
Расположен в:Государственные стандарты Общероссийский классификатор стандартов Энергетика и теплотехника Гелиоэнергетика Классификатор государственных стандартов Энергетическое и электротехническое оборудование Аккумуляторы, элементы и конденсаторы Элементы и батареи
ГОСТ Р 56980-2016ГОСТ Р 56980-2016ГОСТ Р 56980-2016ГОСТ Р 56980-2016ГОСТ Р 56980-2016ГОСТ Р 56980-2016ГОСТ Р 56980-2016ГОСТ Р 56980-2016ГОСТ Р 56980-2016ГОСТ Р 56980-2016ГОСТ Р 56980-2016ГОСТ Р 56980-2016ГОСТ Р 56980-2016ГОСТ Р 56980-2016ГОСТ Р 56980-2016ГОСТ Р 56980-2016ГОСТ Р 56980-2016ГОСТ Р 56980-2016ГОСТ Р 56980-2016ГОСТ Р 56980-2016ГОСТ Р 56980-2016ГОСТ Р 56980-2016ГОСТ Р 56980-2016ГОСТ Р 56980-2016ГОСТ Р 56980-2016ГОСТ Р 56980-2016ГОСТ Р 56980-2016ГОСТ Р 56980-2016ГОСТ Р 56980-2016ГОСТ Р 56980-2016ГОСТ Р 56980-2016ГОСТ Р 56980-2016ГОСТ Р 56980-2016ГОСТ Р 56980-2016ГОСТ Р 56980-2016ГОСТ Р 56980-2016ГОСТ Р 56980-2016ГОСТ Р 56980-2016ГОСТ Р 56980-2016ГОСТ Р 56980-2016ГОСТ Р 56980-2016ГОСТ Р 56980-2016ГОСТ Р 56980-2016ГОСТ Р 56980-2016ГОСТ Р 56980-2016ГОСТ Р 56980-2016ГОСТ Р 56980-2016ГОСТ Р 56980-2016ГОСТ Р 56980-2016ГОСТ Р 56980-2016ГОСТ Р 56980-2016ГОСТ Р 56980-2016

© 2013 Ёшкин Кот :-) Карта сайта