Информационная система
«Ёшкин Кот»

Скачать базу одним архивом
Скачать обновления
История создания базы
Карта сайта

Скачать ГОСТ Р 56979-2016 Модули фотоэлектрические. Испытания на стойкость к воздействию аммиака

Дата актуализации: 01.06.2025

ГОСТ Р 56979-2016

Модули фотоэлектрические. Испытания на стойкость к воздействию аммиака

Обозначение: ГОСТ Р 56979-2016
Статус:действующий
Название рус.:Модули фотоэлектрические. Испытания на стойкость к воздействию аммиака
Дата актуализации текста:01.01.2021
Дата актуализации описания:01.07.2023
Дата издания:08.08.2016
Дата введения:01.03.2017
Содержит требования:IEC 62716(2013)
Нормативные ссылки:ГОСТ ИСО/МЭК 17025;ГОСТ Р МЭК 61646-2013;ГОСТ Р МЭК 61701;ГОСТ Р МЭК 61730-2;ГОСТ Р 56980
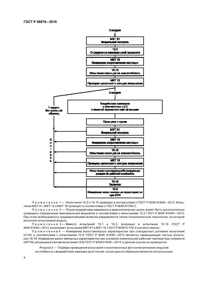
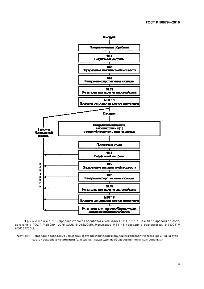
Область применения:Фотоэлектрические модули являются электрическими устройствами, предназначенными для постоянного использования вне помещения в течение всего срока службы. Высококоррозионные влажные условия (например, условия окружающей среды в районе животноводческих предприятий) со временем могут привести к деградации компонентов фотоэлектрических модулей вследствие их взаимодействия с аммиаком (коррозии металлических частей, ухудшению характеристик и деструкции некоторых неметаллических материалов, таких как защитные покрытия и пластики). Указанная деградация приводит к необратимым повреждениям, которые могут нарушить работоспособность и безопасность эксплуатации фотоэлектрических модулей. Настоящий стандарт распространяется на плоские фотоэлектрические модули и устанавливает процедуры испытаний для определения стойкости указанных модулей к воздействию аммиака (NH3). Настоящий стандарт распространяется также на фотоэлектрические модули криволинейной конструкции, если криволинейность конструкции определяется формой внешней конструкции (устройства), в которую встраивается модуль (частью которой является модуль) или функцией, которую модуль выполняет помимо преобразования солнечной энергии, например козырек здания
Расположен в:Государственные стандарты Общероссийский классификатор стандартов Энергетика и теплотехника Гелиоэнергетика Классификатор государственных стандартов Энергетическое и электротехническое оборудование Аккумуляторы, элементы и конденсаторы Элементы и батареи
ГОСТ Р 56979-2016ГОСТ Р 56979-2016ГОСТ Р 56979-2016ГОСТ Р 56979-2016ГОСТ Р 56979-2016ГОСТ Р 56979-2016ГОСТ Р 56979-2016ГОСТ Р 56979-2016ГОСТ Р 56979-2016ГОСТ Р 56979-2016ГОСТ Р 56979-2016ГОСТ Р 56979-2016ГОСТ Р 56979-2016ГОСТ Р 56979-2016ГОСТ Р 56979-2016

© 2013 Ёшкин Кот :-) Карта сайта