| Обозначение: |  ГОСТ Р 56932-2016 |
| Статус: | действующий |
| Название рус.: | Руководство по применению критериев классификации опасности химической продукции по воздействию на организм. Острая токсичность при попадании на кожу |
| Дата актуализации текста: | 01.01.2021 |
| Дата актуализации описания: | 01.07.2023 |
| Дата издания: | 25.07.2019 |
| Дата введения: | 01.01.2017 |
| Нормативные ссылки: | ГОСТ 32373-2013; ГОСТ 32419-2013; ГОСТ 32423-2013 |
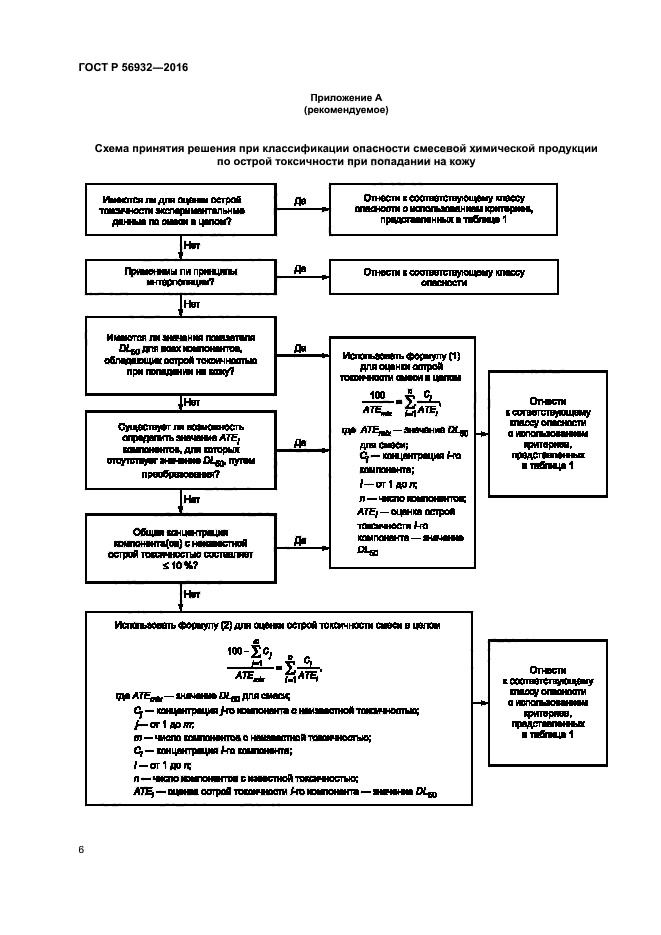
| Область применения: | Настоящий стандарт содержит руководящие принципы по выбору наиболее подходящих данных и применению критериев классификации опасности химической продукции, обладающей острой токсичностью по воздействию на организм при попадании на кожу |
|
| Расположен в: |
|