Информационная система
«Ёшкин Кот»

Скачать базу одним архивом
Скачать обновления
История создания базы
Карта сайта

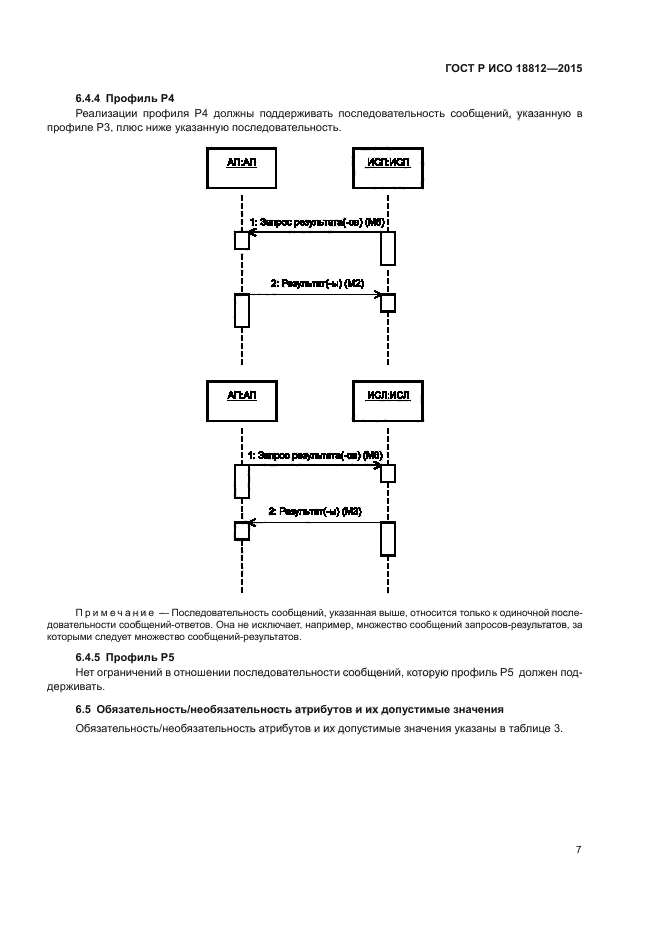
Скачать ГОСТ Р ИСО 18812-2015 Информатизация здоровья. Интерфейсы клинических анализаторов для лабораторных информационных систем. Профили применения

Дата актуализации: 01.06.2025

ГОСТ Р ИСО 18812-2015

Информатизация здоровья. Интерфейсы клинических анализаторов для лабораторных информационных систем. Профили применения

Обозначение: ГОСТ Р ИСО 18812-2015
Статус:действующий
Название рус.:Информатизация здоровья. Интерфейсы клинических анализаторов для лабораторных информационных систем. Профили применения
Дата актуализации текста:07.08.2016
Дата актуализации описания:01.01.2021
Дата издания:18.05.2016
Дата введения:01.11.2016
Аутентичен стандартам:ISO 18812:2003
Область применения:Настоящий стандарт определяет общие сообщения для выполнения электронного обмена информацией между аналитическими приборами (АП) и информационными системами лаборатории (ИСЛ) в клинической лаборатории. Требования настоящего стандарта распространяется на следующие области: клинические химия/биохимия, гематология, токсикология, микробиология, вирусология и иммунология
Расположен в:Государственные стандарты Общероссийский классификатор стандартов Информационные технологии. Машины конторские Применение информационных технологий Применение информационных технологий в здравоохранении Классификатор государственных стандартов Измерительные приборы. Средства автоматизации и вычислительной техники Средства вычислительной техники и автоматизированные системы управления Виды представления информации и математическое обеспечение машин
ГОСТ Р ИСО 18812-2015ГОСТ Р ИСО 18812-2015ГОСТ Р ИСО 18812-2015ГОСТ Р ИСО 18812-2015ГОСТ Р ИСО 18812-2015ГОСТ Р ИСО 18812-2015ГОСТ Р ИСО 18812-2015ГОСТ Р ИСО 18812-2015ГОСТ Р ИСО 18812-2015ГОСТ Р ИСО 18812-2015ГОСТ Р ИСО 18812-2015ГОСТ Р ИСО 18812-2015ГОСТ Р ИСО 18812-2015ГОСТ Р ИСО 18812-2015ГОСТ Р ИСО 18812-2015ГОСТ Р ИСО 18812-2015ГОСТ Р ИСО 18812-2015ГОСТ Р ИСО 18812-2015ГОСТ Р ИСО 18812-2015ГОСТ Р ИСО 18812-2015ГОСТ Р ИСО 18812-2015ГОСТ Р ИСО 18812-2015ГОСТ Р ИСО 18812-2015ГОСТ Р ИСО 18812-2015ГОСТ Р ИСО 18812-2015ГОСТ Р ИСО 18812-2015ГОСТ Р ИСО 18812-2015ГОСТ Р ИСО 18812-2015ГОСТ Р ИСО 18812-2015ГОСТ Р ИСО 18812-2015ГОСТ Р ИСО 18812-2015ГОСТ Р ИСО 18812-2015ГОСТ Р ИСО 18812-2015ГОСТ Р ИСО 18812-2015ГОСТ Р ИСО 18812-2015ГОСТ Р ИСО 18812-2015ГОСТ Р ИСО 18812-2015ГОСТ Р ИСО 18812-2015ГОСТ Р ИСО 18812-2015ГОСТ Р ИСО 18812-2015ГОСТ Р ИСО 18812-2015ГОСТ Р ИСО 18812-2015ГОСТ Р ИСО 18812-2015ГОСТ Р ИСО 18812-2015ГОСТ Р ИСО 18812-2015ГОСТ Р ИСО 18812-2015ГОСТ Р ИСО 18812-2015ГОСТ Р ИСО 18812-2015ГОСТ Р ИСО 18812-2015ГОСТ Р ИСО 18812-2015ГОСТ Р ИСО 18812-2015ГОСТ Р ИСО 18812-2015ГОСТ Р ИСО 18812-2015ГОСТ Р ИСО 18812-2015ГОСТ Р ИСО 18812-2015ГОСТ Р ИСО 18812-2015

© 2013 Ёшкин Кот :-) Карта сайта