Информационная система
«Ёшкин Кот»

Скачать базу одним архивом
Скачать обновления
История создания базы
Карта сайта

Скачать ГОСТ Р ИСО 11064-1-2015 Эргономическое проектирование центров управления. Часть 1. Принципы проектирования

Дата актуализации: 01.06.2025

ГОСТ Р ИСО 11064-1-2015

Эргономическое проектирование центров управления. Часть 1. Принципы проектирования

Обозначение: ГОСТ Р ИСО 11064-1-2015
Статус:действующий
Название рус.:Эргономическое проектирование центров управления. Часть 1. Принципы проектирования
Название англ.:Ergonomic design of control centres. Part 1. Principles for the design
Дата актуализации текста:26.02.2016
Дата актуализации описания:01.07.2023
Дата издания:25.07.2019
Дата введения:01.12.2016
Аутентичен стандартам:ISO 11064-1:2000
Нормативные ссылки:ISO 6385:2016;ISO 11064-3
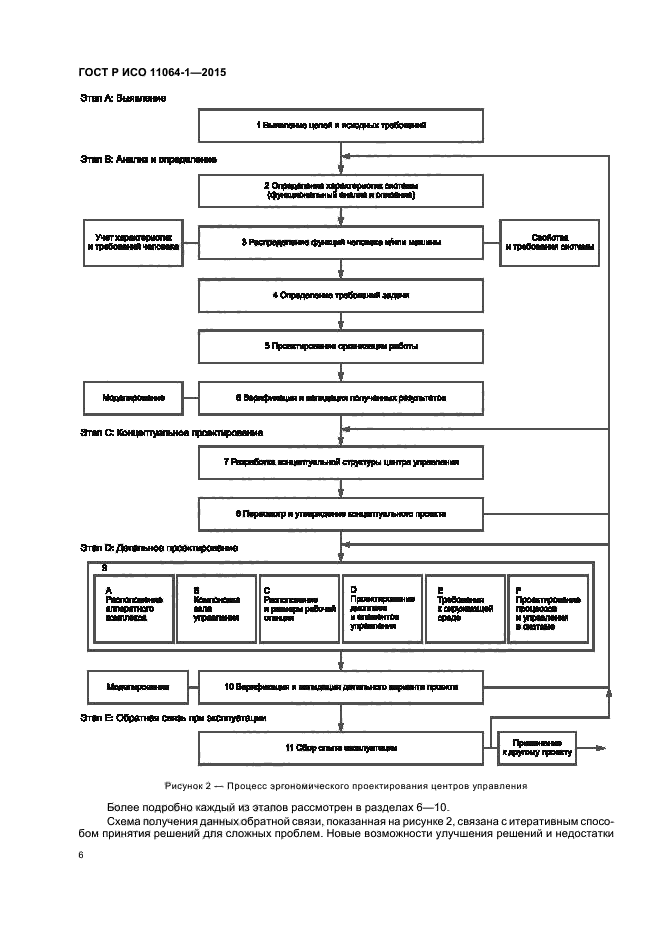
Область применения:Настоящий стандарт устанавливает эргономические принципы, рекомендации и требования, которые следует применять при проектировании центров управления, а также при расширении, обновлении и технологическом совершенствовании центров управления. Требования стандарта охватывают все типы центров управления, как правило, используемых в отраслях перерабатывающей промышленности, транспортировки, логистики и услуг по размещению людей
Расположен в:Государственные стандарты Общероссийский классификатор стандартов Охрана окружающей среды, защита человека от воздействия окружающей среды. Безопасность Эргономика Классификатор государственных стандартов Электронная техника, радиоэлектроника и связь Машины электронные вычислительные, устройства и приборы к ним Устройства для электронных вычислительных машин
ГОСТ Р ИСО 11064-1-2015ГОСТ Р ИСО 11064-1-2015ГОСТ Р ИСО 11064-1-2015ГОСТ Р ИСО 11064-1-2015ГОСТ Р ИСО 11064-1-2015ГОСТ Р ИСО 11064-1-2015ГОСТ Р ИСО 11064-1-2015ГОСТ Р ИСО 11064-1-2015ГОСТ Р ИСО 11064-1-2015ГОСТ Р ИСО 11064-1-2015ГОСТ Р ИСО 11064-1-2015ГОСТ Р ИСО 11064-1-2015ГОСТ Р ИСО 11064-1-2015ГОСТ Р ИСО 11064-1-2015ГОСТ Р ИСО 11064-1-2015ГОСТ Р ИСО 11064-1-2015ГОСТ Р ИСО 11064-1-2015ГОСТ Р ИСО 11064-1-2015ГОСТ Р ИСО 11064-1-2015ГОСТ Р ИСО 11064-1-2015ГОСТ Р ИСО 11064-1-2015ГОСТ Р ИСО 11064-1-2015ГОСТ Р ИСО 11064-1-2015ГОСТ Р ИСО 11064-1-2015ГОСТ Р ИСО 11064-1-2015ГОСТ Р ИСО 11064-1-2015ГОСТ Р ИСО 11064-1-2015ГОСТ Р ИСО 11064-1-2015

© 2013 Ёшкин Кот :-) Карта сайта