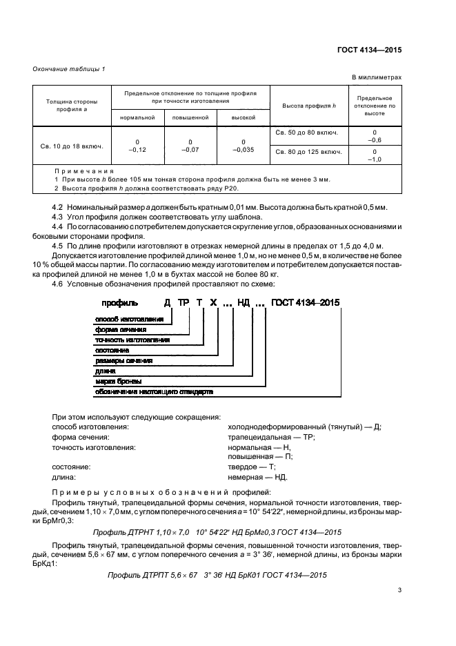
| ||||||||||||||||||||||||||||||||
Скачать ГОСТ 4134-2015 Профили из медных сплавов для коллекторов электрических машин. Технические условияДата актуализации: 01.06.2025
| ||||||||||||||||||||||||||||||||
| Обозначение: | ![]() ГОСТ 4134-2015 |
| Статус: | действующий |
| Название рус.: | Профили из медных сплавов для коллекторов электрических машин. Технические условия |
| Название англ.: | Copper alloys sections for collectors of electrical machines. Specifications |
| Дата актуализации текста: | 01.01.2021 |
| Дата актуализации описания: | 01.07.2023 |
| Дата регистрации: | 30.09.2015 |
| Дата издания: | 24.11.2015 |
| Дата введения: | 01.04.2016 |
| Взамен: | ГОСТ 4134-75 |
| Нормативные ссылки: | ГОСТ 3282-74; ГОСТ 3560-73; ГОСТ 8026-92; ГОСТ 9012-59; ГОСТ 14192-96; ГОСТ 15027.1-77; ГОСТ 15027.2-77; ГОСТ 15027.3-77; ГОСТ 15027.4-77; ГОСТ 15027.5-77; ГОСТ 15027.6-77; ГОСТ 15027.7-77; ГОСТ 15027.8-77; ГОСТ 15027.9-77; ГОСТ 15027.10-77; ГОСТ 15027.11-77; ГОСТ 15027.12-77; ГОСТ 15027.13-77; ГОСТ 15027.14-77; ГОСТ 15846-2002; ГОСТ 18175-78; ГОСТ 20068.1-79; ГОСТ 20068.2-79; ГОСТ 20068.3-79; ГОСТ 21650-76; ГОСТ 24231-80; ГОСТ 24597-81 |
| Область применения: | Настоящий стандарт распространяется на холоднодеформированные профили из медных сплавов (бронзы), применяемые для изготовления коллекторов электрических машин. Стандарт устанавливает сортамент, технические требования, правила приемки, методы контроля и испытаний, маркировку, упаковку, транспортирование и хранение профилей. |
| Расположен в: | |










