| Обозначение: |  ГОСТ Р ИСО 20140-1-2014 |
| Статус: | заменён |
| Название рус.: | Системы промышленной автоматизации и интеграция. Оценка энергетической эффективности и прочих факторов производственных систем, воздействующих на окружающую среду. Часть 1. Обзор и общие принципы |
| Название англ.: | Automation systems and integration. Evaluating energy efficiency and other factors of manufacturing systems that influence the environment. Part 1. Overview and general principles |
| Дата актуализации текста: | 26.02.2016 |
| Дата актуализации описания: | 01.06.2021 |
| Дата издания: | 18.05.2020 |
| Дата введения: | 01.01.2016 |
| Дата окончания срока действия: | 01.01.2021 |
| Заменяющий: | ГОСТ Р ИСО 20140-1-2020 |
| Аутентичен стандартам: | ISO 20140-1:2013 |
| Нормативные ссылки: | ISO 14040 |
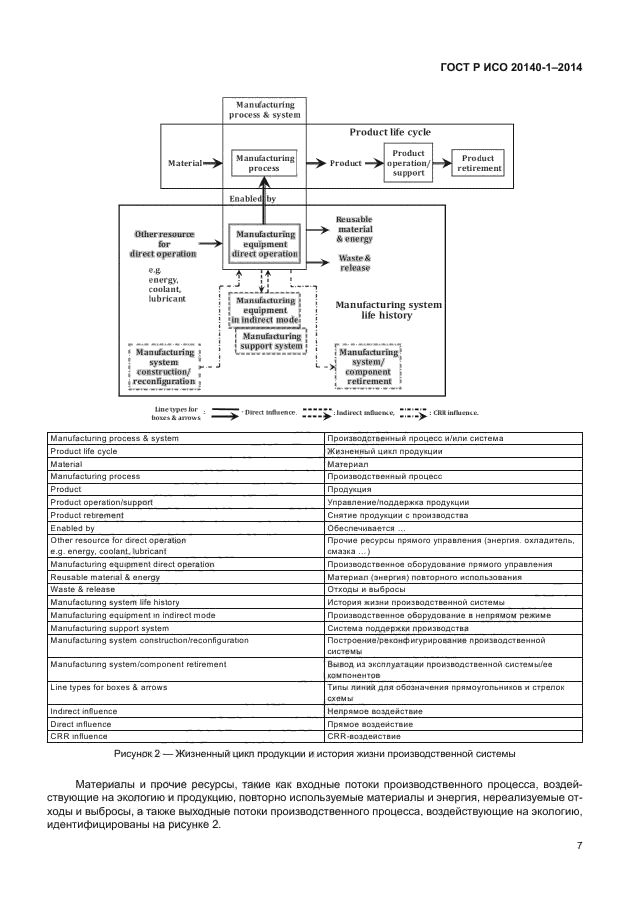
| Область применения: | Настоящий стандарт содержит обзор и общие принципы метода оценки воздействия производственных систем на окружающую среду. ИСО 20140 устанавливает для отраслей промышленности с дискретным производством основные положения и методологию оценки воздействия на окружающую среду в части энергетической эффективности и прочих факторов производства. Это повышает эффективность использования целевых методов в характерных ситуациях |
|
| Расположен в: |
|