Информационная система
«Ёшкин Кот»

Скачать базу одним архивом
Скачать обновления
История создания базы
Карта сайта

Скачать ГОСТ Р ИСО 11615-2014 Информатизация здоровья. Идентификация лекарственных средств. Элементы данных и структуры для уникальной идентификации и обмена информацией о регистрируемых лекарственных средствах

Дата актуализации: 01.06.2025

ГОСТ Р ИСО 11615-2014

Информатизация здоровья. Идентификация лекарственных средств. Элементы данных и структуры для уникальной идентификации и обмена информацией о регистрируемых лекарственных средствах

Обозначение: ГОСТ Р ИСО 11615-2014
Статус:действующий
Название рус.:Информатизация здоровья. Идентификация лекарственных средств. Элементы данных и структуры для уникальной идентификации и обмена информацией о регистрируемых лекарственных средствах
Название англ.:Health informatics. Identification of medicinal products. Data elements and structures for the unique identification and exchange of regulated medicinal product information
Дата актуализации текста:26.02.2016
Дата актуализации описания:01.07.2023
Дата издания:09.10.2015
Дата введения:01.10.2015
Аутентичен стандартам:ISO 11615:2012
Нормативные ссылки:ISO 639-2;ISO 3166-1;ISO 8601;ISO 11616;ISO 11238;ISO 11239;ISO 11240;ISO 21090;ISO/IEC 5218
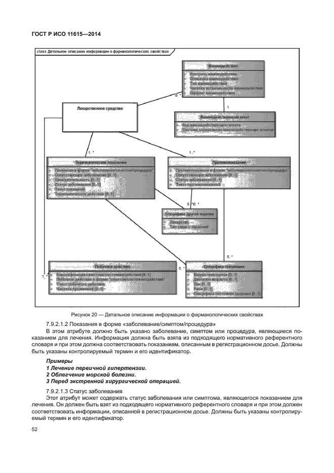
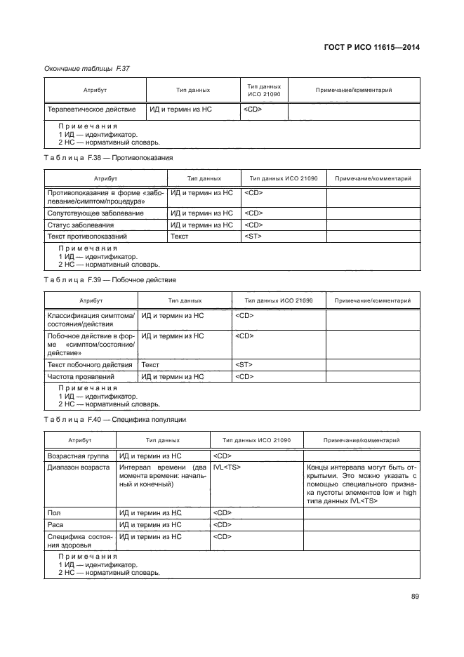
Область применения:В настоящем стандарте описаны определения и понятия, а также элементы данных и их структурные отношения, необходимые для уникальной идентификации и детального описания лекарственных средств. Стандарты, перечисленные во введении, в своей совокупности представляют собой информационную модель, предназначенную для описания характеристик и уникальной идентификации регистрируемых лекарственных средств для применения человеком в течение всего их жизненного цикла, то есть по мере необходимости от разработки до регистрации, проведения пострегистрационных исследований, обновления или снятия с рынка. Кроме того, для обеспечения возможности успешного обмена информацией, связанной с уникальной идентификацией и характеристиками лекарственных средств, в настоящем стандарте описан контекст применения других стандартов обмена данными группы IDMP
Расположен в:Государственные стандарты Общероссийский классификатор стандартов Информационные технологии. Машины конторские Применение информационных технологий Применение информационных технологий в здравоохранении Классификатор государственных стандартов Измерительные приборы. Средства автоматизации и вычислительной техники Средства вычислительной техники и автоматизированные системы управления Виды представления информации и математическое обеспечение машин
ГОСТ Р ИСО 11615-2014ГОСТ Р ИСО 11615-2014ГОСТ Р ИСО 11615-2014ГОСТ Р ИСО 11615-2014ГОСТ Р ИСО 11615-2014ГОСТ Р ИСО 11615-2014ГОСТ Р ИСО 11615-2014ГОСТ Р ИСО 11615-2014ГОСТ Р ИСО 11615-2014ГОСТ Р ИСО 11615-2014ГОСТ Р ИСО 11615-2014ГОСТ Р ИСО 11615-2014ГОСТ Р ИСО 11615-2014ГОСТ Р ИСО 11615-2014ГОСТ Р ИСО 11615-2014ГОСТ Р ИСО 11615-2014ГОСТ Р ИСО 11615-2014ГОСТ Р ИСО 11615-2014ГОСТ Р ИСО 11615-2014ГОСТ Р ИСО 11615-2014ГОСТ Р ИСО 11615-2014ГОСТ Р ИСО 11615-2014ГОСТ Р ИСО 11615-2014ГОСТ Р ИСО 11615-2014ГОСТ Р ИСО 11615-2014ГОСТ Р ИСО 11615-2014ГОСТ Р ИСО 11615-2014ГОСТ Р ИСО 11615-2014ГОСТ Р ИСО 11615-2014ГОСТ Р ИСО 11615-2014ГОСТ Р ИСО 11615-2014ГОСТ Р ИСО 11615-2014ГОСТ Р ИСО 11615-2014ГОСТ Р ИСО 11615-2014ГОСТ Р ИСО 11615-2014ГОСТ Р ИСО 11615-2014ГОСТ Р ИСО 11615-2014ГОСТ Р ИСО 11615-2014ГОСТ Р ИСО 11615-2014ГОСТ Р ИСО 11615-2014ГОСТ Р ИСО 11615-2014ГОСТ Р ИСО 11615-2014ГОСТ Р ИСО 11615-2014ГОСТ Р ИСО 11615-2014ГОСТ Р ИСО 11615-2014ГОСТ Р ИСО 11615-2014ГОСТ Р ИСО 11615-2014ГОСТ Р ИСО 11615-2014ГОСТ Р ИСО 11615-2014ГОСТ Р ИСО 11615-2014ГОСТ Р ИСО 11615-2014ГОСТ Р ИСО 11615-2014ГОСТ Р ИСО 11615-2014ГОСТ Р ИСО 11615-2014ГОСТ Р ИСО 11615-2014ГОСТ Р ИСО 11615-2014ГОСТ Р ИСО 11615-2014ГОСТ Р ИСО 11615-2014ГОСТ Р ИСО 11615-2014ГОСТ Р ИСО 11615-2014ГОСТ Р ИСО 11615-2014ГОСТ Р ИСО 11615-2014ГОСТ Р ИСО 11615-2014ГОСТ Р ИСО 11615-2014ГОСТ Р ИСО 11615-2014ГОСТ Р ИСО 11615-2014ГОСТ Р ИСО 11615-2014ГОСТ Р ИСО 11615-2014ГОСТ Р ИСО 11615-2014ГОСТ Р ИСО 11615-2014ГОСТ Р ИСО 11615-2014ГОСТ Р ИСО 11615-2014ГОСТ Р ИСО 11615-2014ГОСТ Р ИСО 11615-2014ГОСТ Р ИСО 11615-2014ГОСТ Р ИСО 11615-2014ГОСТ Р ИСО 11615-2014ГОСТ Р ИСО 11615-2014ГОСТ Р ИСО 11615-2014ГОСТ Р ИСО 11615-2014ГОСТ Р ИСО 11615-2014ГОСТ Р ИСО 11615-2014ГОСТ Р ИСО 11615-2014ГОСТ Р ИСО 11615-2014ГОСТ Р ИСО 11615-2014ГОСТ Р ИСО 11615-2014ГОСТ Р ИСО 11615-2014ГОСТ Р ИСО 11615-2014ГОСТ Р ИСО 11615-2014ГОСТ Р ИСО 11615-2014ГОСТ Р ИСО 11615-2014ГОСТ Р ИСО 11615-2014ГОСТ Р ИСО 11615-2014ГОСТ Р ИСО 11615-2014ГОСТ Р ИСО 11615-2014ГОСТ Р ИСО 11615-2014ГОСТ Р ИСО 11615-2014ГОСТ Р ИСО 11615-2014ГОСТ Р ИСО 11615-2014ГОСТ Р ИСО 11615-2014ГОСТ Р ИСО 11615-2014ГОСТ Р ИСО 11615-2014ГОСТ Р ИСО 11615-2014ГОСТ Р ИСО 11615-2014ГОСТ Р ИСО 11615-2014ГОСТ Р ИСО 11615-2014ГОСТ Р ИСО 11615-2014ГОСТ Р ИСО 11615-2014ГОСТ Р ИСО 11615-2014ГОСТ Р ИСО 11615-2014ГОСТ Р ИСО 11615-2014ГОСТ Р ИСО 11615-2014

© 2013 Ёшкин Кот :-) Карта сайта