| Обозначение: |  ГОСТ 8226-2015 |
| Статус: | заменён |
| Название рус.: | Топливо для двигателей. Исследовательский метод определения октанового числа |
| Дата актуализации текста: | 01.01.2021 |
| Дата актуализации описания: | 01.07.2023 |
| Дата регистрации: | 10.12.2015 |
| Дата издания: | 08.02.2016 |
| Дата введения: | 01.01.2017 |
| Дата окончания срока действия: | 01.07.2023 |
| Взамен: | ГОСТ 8226-82 |
| Заменяющий: | ГОСТ 8226-2022 |
| Нормативные ссылки: | ГОСТ ISO 3696-2013; ГОСТ 2517-2012; ГОСТ 6709-72; ГОСТ 21743-76; ГОСТ 31873-2012; ГОСТ Р 52501-2015 |
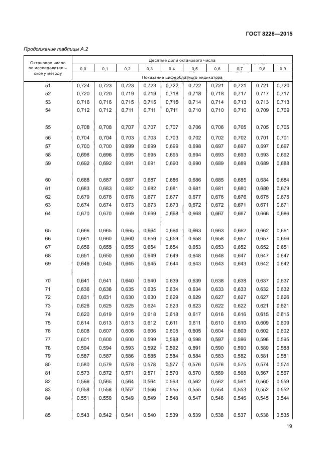
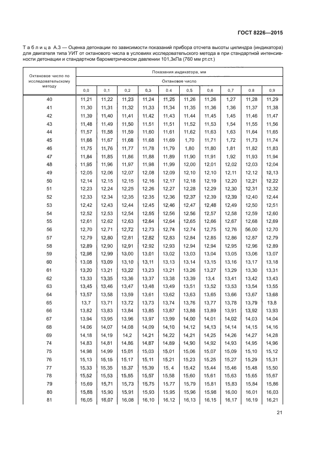
| Область применения: | Настоящий стандарт устанавливает исследовательский метод определения октанового числа как характеристики детонационной стойкости автомобильных бензинов и их компонентов, предназначенных для использования в двигателях с искровым зажиганием, на одноцилиндровом четырехтактном двигателе. В качестве стандартного одноцилиндрового двигателя в настоящее время применяют установки отечественного производства типа УИТ и зарубежного производства CFR с переменной степенью сжатия с использованием условной шкалы октановых чисел |
|
| Расположен в: |
|