Информационная система
«Ёшкин Кот»

Скачать базу одним архивом
Скачать обновления
История создания базы
Карта сайта

Скачать ГОСТ Р ИСО 17258-2015 Статистические методы. Количественные методы улучшения процессов Шесть сигм. Бенчмаркинг

Дата актуализации: 01.06.2025

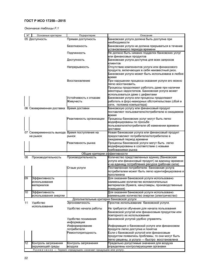
ГОСТ Р ИСО 17258-2015

Статистические методы. Количественные методы улучшения процессов Шесть сигм. Бенчмаркинг

Обозначение: ГОСТ Р ИСО 17258-2015
Статус:действующий
Название рус.:Статистические методы. Количественные методы улучшения процессов Шесть сигм. Бенчмаркинг
Дата актуализации текста:07.08.2016
Дата актуализации описания:01.06.2021
Дата издания:20.10.2020
Дата введения:01.07.2016
Аутентичен стандартам:ISO 17258:2014
Нормативные ссылки:ISO 13053-1
Область применения:В настоящем стандарте установлена методология определения уровня качества, эффективности и производительности процессов, продукции и услуг в соответствии с принципами методологии «Шесть Сигм». Эта методология применима к организациям всех секторов экономики (промышленность, сфера услуг, управление и др.) и организациям, как вовлеченным в программы улучшений, такие как «Шесть сигм», бережливое производство и др., так и не вовлеченным в эти программы. В частности, эта методология может быть использована перед началом выполнения программы «Шесть Сигм» при выборе проектов для улучшений
Расположен в:Государственные стандарты Общероссийский классификатор стандартов Услуги. Организация фирм, управление и качество. Администрация. Транспорт. Социология. Качество Применение статистических методов Классификатор государственных стандартов Общетехнические и организационно-методические стандарты Система документации Общие методы и средства контроля и испытания продукции. Методы статистического контроля качества, надежности, долговечности
ГОСТ Р ИСО 17258-2015ГОСТ Р ИСО 17258-2015ГОСТ Р ИСО 17258-2015ГОСТ Р ИСО 17258-2015ГОСТ Р ИСО 17258-2015ГОСТ Р ИСО 17258-2015ГОСТ Р ИСО 17258-2015ГОСТ Р ИСО 17258-2015ГОСТ Р ИСО 17258-2015ГОСТ Р ИСО 17258-2015ГОСТ Р ИСО 17258-2015ГОСТ Р ИСО 17258-2015ГОСТ Р ИСО 17258-2015ГОСТ Р ИСО 17258-2015ГОСТ Р ИСО 17258-2015ГОСТ Р ИСО 17258-2015ГОСТ Р ИСО 17258-2015ГОСТ Р ИСО 17258-2015ГОСТ Р ИСО 17258-2015ГОСТ Р ИСО 17258-2015ГОСТ Р ИСО 17258-2015ГОСТ Р ИСО 17258-2015ГОСТ Р ИСО 17258-2015ГОСТ Р ИСО 17258-2015ГОСТ Р ИСО 17258-2015ГОСТ Р ИСО 17258-2015ГОСТ Р ИСО 17258-2015ГОСТ Р ИСО 17258-2015ГОСТ Р ИСО 17258-2015ГОСТ Р ИСО 17258-2015ГОСТ Р ИСО 17258-2015ГОСТ Р ИСО 17258-2015ГОСТ Р ИСО 17258-2015ГОСТ Р ИСО 17258-2015ГОСТ Р ИСО 17258-2015ГОСТ Р ИСО 17258-2015ГОСТ Р ИСО 17258-2015ГОСТ Р ИСО 17258-2015ГОСТ Р ИСО 17258-2015ГОСТ Р ИСО 17258-2015ГОСТ Р ИСО 17258-2015ГОСТ Р ИСО 17258-2015

© 2013 Ёшкин Кот :-) Карта сайта