| Обозначение: |  ГОСТ Р ИСО 13374-3-2015 |
| Статус: | действующий |
| Название рус.: | Контроль состояния и диагностика машин. Обработка, передача и представление данных. Часть 3. Передача данных |
| Дата актуализации текста: | 07.08.2016 |
| Дата актуализации описания: | 01.07.2023 |
| Дата издания: | 21.11.2018 |
| Дата введения: | 01.12.2016 |
| Аутентичен стандартам: | ISO 13374-3:2012 |
| Нормативные ссылки: | ISO 8601;ISO 13372;ISO 13374-1:2003;ISO 13374-2:2007;ISO/IEC 19501 |
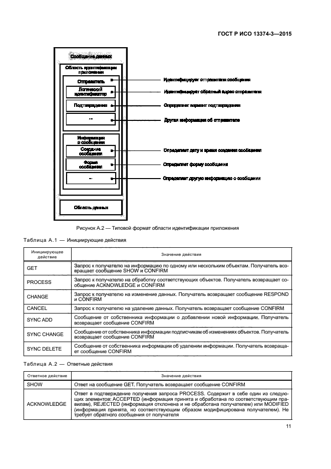
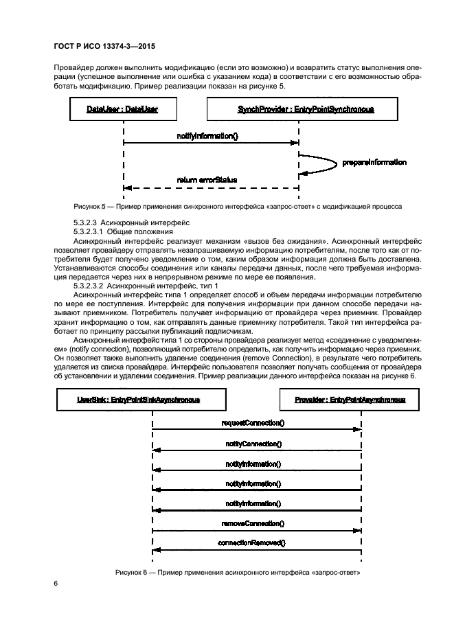
| Область применения: | Настоящий стандарт устанавливает требования к передаче данных в открытой эталонной информационной архитектуре систем контроля состояния и диагностирования и эталонной архитектуре систем обработки данных. Настоящий стандарт предназначен для разработчиков систем программного обеспечения процедур обмена данными между различными приложениями системы контроля состояния и диагностирования предприятия и обеспечивает операционную совместимость этих систем |
|
| Расположен в: |
|