| Обозначение: |    ГОСТ Р ИСО 6375-2015 | 
| Статус: | действующий | 
| Название рус.: | Материалы углеродные для производства алюминия. Кокс для электродов. Отбор проб | 
| Название англ.: | Carbonaceous materials used in the production of aluminium. Cokes for electrodes. Sampling | 
| Дата актуализации текста: | 15.10.2015 | 
| Дата актуализации описания: | 01.07.2023 | 
| Дата издания: | 23.05.2019 | 
| Дата введения: | 01.07.2016 | 
| Код ОКП: | 191000 | 
| Аутентичен стандартам: | ISO 6375:1980 | 
| Нормативные ссылки: | ISO 1988;ISO 6206;ISO 2309 | 
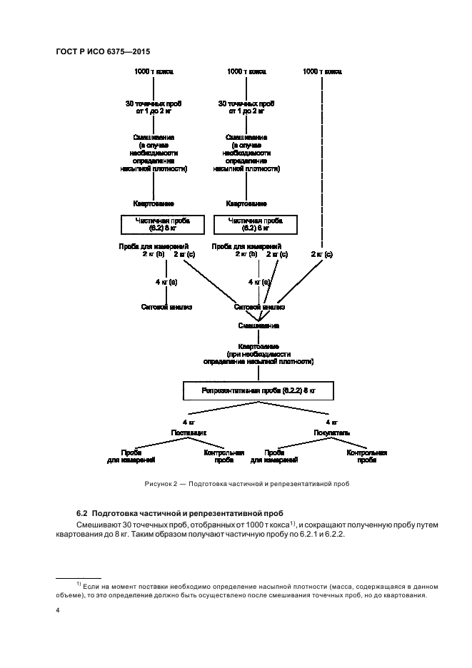
| Область применения: | Настоящий стандарт распространяется на нефтяные прокаленные коксы, используемые в электродных углеродных материалах для производства алюминия, и устанавливает методы отбора и подготовки проб. Целью отбора и подготовки проб является получение таких проб, по результатам испытаний которых можно судить о качестве всей опробованной партии кокса. Настоящий стандарт содержит положения, которые не входят в методы отбора проб схожих углеродных материалов, таких, например, как металлургический кокс. Эти положения в основном связаны с пробами для физических измерений и анализа размеров частиц. Кокс должен быть стандартного химического состава. Для проверки качества кокса отбирают две пробы: - первую - во время погрузки для проверки качества поставляемого кокса; - вторую - во время разгрузки на объекте заказчика или в ближайшем порту для проверки на предмет возможного загрязнения при транспортировании | 
 | 
| Расположен в: | 
  |