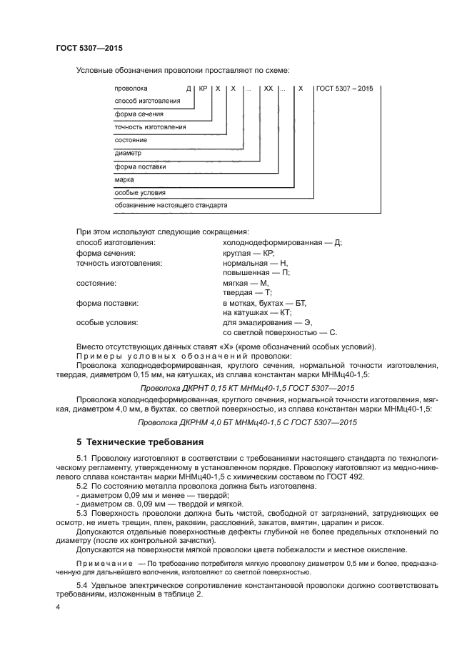
| ||||||||||||||||||||||||||||||||||||||
Скачать ГОСТ 5307-2015 Проволока константановая неизолированная. Технические условияДата актуализации: 01.06.2025
| ||||||||||||||||||||||||||||||||||||||
| Обозначение: | ![]() ГОСТ 5307-2015 |
| Статус: | действующий |
| Название рус.: | Проволока константановая неизолированная. Технические условия |
| Дата актуализации текста: | 01.01.2021 |
| Дата актуализации описания: | 01.07.2023 |
| Дата регистрации: | 29.05.2015 |
| Дата издания: | 08.02.2016 |
| Дата введения: | 01.04.2016 |
| Взамен: | ГОСТ 5307-77 |
| Нормативные ссылки: | ГОСТ Р ИСО 2859-1-2007; ГОСТ 492-2006; ГОСТ 2991-85; ГОСТ 3282-74; ГОСТ 3560-73; ГОСТ 4381-87; ГОСТ 6507-90; ГОСТ 6689.1-92; ГОСТ 6689.2-92; ГОСТ 6689.3-92; ГОСТ 6689.4-92; ГОСТ 6689.5-92; ГОСТ 6689.6-92; ГОСТ 6689.7-92; ГОСТ 6689.8-92; ГОСТ 6689.9-92; ГОСТ 6689.10-92; ГОСТ 6689.11-92; ГОСТ 6689.12-92; ГОСТ 6689.13-92; ГОСТ 6689.14-92; ГОСТ 6689.15-92; ГОСТ 6689.16-92; ГОСТ 6689.17-92; ГОСТ 6689.18-92; ГОСТ 6689.19-92; ГОСТ 6689.20-92; ГОСТ 6689.21-92; ГОСТ 6689.22-92; ГОСТ 7229-76; ГОСТ 8273-75; ГОСТ 8828-89; ГОСТ 9078-84; ГОСТ 9347-74; ГОСТ 9421-80; ГОСТ 9557-87; ГОСТ 9569-2006; ГОСТ 9570-84; ГОСТ 10446-80; ГОСТ 14019-2003; ГОСТ 14192-96; ГОСТ 15846-2002; ГОСТ 17308-88; ГОСТ 18242-72; ГОСТ 18321-73; ГОСТ 20435-75; ГОСТ 21140-88; ГОСТ 22225-76; ГОСТ 24047-80; ГОСТ 24231-80; ГОСТ 24597-81; ГОСТ 25086-87; ГОСТ 26663-85; ГОСТ 28798-90;СТ СЭВ 543-77 |
| Область применения: | Настоящий стандарт распространяется на холоднотянутую константановую неизолированную проволоку круглого сечения, применяемую для электрических целей. Проволока предназначена для работы при температуре не выше 500 °С. Стандарт устанавливает сортамент, технические требования, правила приемки, методы контроля и испытаний, упаковку, маркировку, транспортирование и хранение проволоки |
| Список изменений: | №0 от 13.11.2018 (рег. 13.11.2018) «Дата введения перенесена» |
| Приложение №1: | Поправка к ГОСТ 5307-2015 |
| Расположен в: | |



















| Обозначение: | Поправка к ГОСТ 5307-2015 |
| Дата введения: | 13.11.2018 |
